网站首页  词典首页


请输入您要查询的字词:

 

字词 三相异步电动机的工作原理
类别 中英文字词句释义及详细解析
释义

三相异步电动机的工作原理


三相异步电动机是利用旋转磁场和电磁感应原理工作的。电流可以产生磁场(图2-4),在三相异步电动机的定子绕组中,通入三相交流电,就会产生一个旋转磁场。对于三相绕组形成的一对磁极的旋转磁场来说,电流变化一个周期,旋转磁场转一周。也就是说,旋转磁场每秒钟的转数等于交流电的频率f,如用n1表示旋转磁场每分钟的转速,则

图2-4 三相异步电动机的工作原理

1.转轴 2.转子 3.定子 4.定子绕组 5.转子绕组

n1=60f

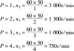
对于两对磁极的电动机,电流变化一周,旋转磁场只转过一对磁极位置。即在空间只转了半圈,所以旋转磁场的转速为60f/2。依次类推,当电动机有P对磁极时,旋转磁场的转速n1与电流频率f和磁极对数P的关系为

从上式知,三相电动机磁极对数越多,其同步转速就越低。农机配套品种繁杂,需要不同转速的三相电动机,因此要特别注意三相电动机的功率数和转速。这可从电动机的产品型号中看出,在产品型号的第二段规格代号中末一项为电机极数(极数=P×2),数字2代表一对磁极,转速为3000r/min;数字4代表两对磁极,转速为1500r/min。

假设旋转磁场以n1的转速顺时针旋转,则转子中的笼条被旋转磁场的磁力线切割,在笼条中产生电动势。由于转子笼条被短路环短接着,因此在感应电势的作用下,转子鼠笼中将产生与感应电势方向一致的感应电流。感应电流受到旋转磁场电磁力作用,在转子上形成转矩,于是转子在转矩的作用下沿着旋转磁场的方向旋转起来。

转子的转速必须小于旋转磁场的转速。因为如果转子的转速与旋转磁场的转速相等,则转子与旋转磁场之间便没有相对运动,转子导体不再切割磁力线,也就不能产生感应电势和电流,转子也就不能转动。因此,转子的转速一定要小于旋转磁场的转速,两个转速不能同步,所以将这种电动机叫做异步电动机。

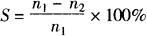
用n2表示电动机的额定转速,则同步转速n1与n2之差叫转速差,简称转差。转差与同步转速之比称为异步电动机的转差率。转差率S按下式计算:

在正常运行时,电动机的转速一般比同步转速低1%~6%(计算时可取平均值3.5%)。

按上述计算,可列出磁极与转速的对应关系,见表2-5。

表2-5 三相异步电动机磁极与转速的关系

注:表中额定转速,是按比同步转速降低3.5%(取1%~6%的中间数)进行计算的值。

可见,若已知异步电动机磁极数或电动机型号(型号中标有磁极数),即可按上式计算出同步转速,再比同步转速低1%~6%(可取平均值3.5%),就可算出额定转速的大概范围。有时会遇到这样的问题:要为某种农机具配套电动机,只知选配的电动机型号Y132S1-2,但不知该型号电动机转速为多少?能否与农机具转速相适应?这时就可利用上式进行计算,从电动机型号中看出磁极数为2,即可求得

概算电动机额定转速=3000×(1-3.5%)≈2900r/min

随便看

 

离鸟网收录3541549条中英文词条,其功能与新华字典、现代汉语词典、牛津高阶英汉词典等各类中英文词典类似,基本涵盖了全部常用中英文字词句的读音、释义及用法,是语言学习和写作的有利工具。

 

Copyright © 2004-2024 vtrois.com All Rights Reserved
更新时间:2026/4/19 11:11:09