网站首页  词典首页


请输入您要查询的字词:

 

字词 三甲基丙烯酸三羟甲基丙烷酯,三羟甲基丙烷三甲基丙烯酸酯
类别 中英文字词句释义及详细解析
释义

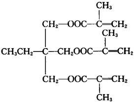
三甲基丙烯酸三羟甲基丙烷酯,三羟甲基丙烷三甲基丙烯酸酯


【结构式】:

【释文】:

性质 纯品为液体。分子量338。相对密度1.065(25℃)。粘度(25℃)35Pa·s。沸点>200℃(133.3Pa)。闪点>149℃。作为交联助剂的商品形式是本品与硅酸盐的共混物,外观为灰白色压敏性粉末,相对密度1.23。

用途 本品可作为过氧化物交联时的助交联剂,适用于顺丁橡胶、氯丁橡胶、二元乙丙橡胶、三元乙丙橡胶、异戊橡胶、丁基橡胶和丁腈橡胶等。混炼时有增塑作用,交联时有增硬作用。可缩短交联时间,提高交联制品的定伸强度、压缩永久变形等性能。

国外生产厂

随便看

 

离鸟网收录3541549条中英文词条,其功能与新华字典、现代汉语词典、牛津高阶英汉词典等各类中英文词典类似,基本涵盖了全部常用中英文字词句的读音、释义及用法,是语言学习和写作的有利工具。

 

Copyright © 2004-2024 vtrois.com All Rights Reserved
更新时间:2026/4/19 12:21:34