网站首页  词典首页


请输入您要查询的字词:

 

字词 丁基邻苯二甲酰基乙醇酸丁酯或邻苯二甲酸丁(乙醇酸乙酯)酯
类别 中英文字词句释义及详细解析
释义

丁基邻苯二甲酰基乙醇酸丁酯或邻苯二甲酸丁(乙醇酸乙酯)酯


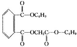
【结构式】:

【释文】:

制法 先由邻苯二甲酸酐和丁醇酯化合成邻苯二甲酸单丁酯,再与氯乙酸丁酯缩合。

性质 无色油状液体。分子量336。色泽(APHA)<50。纯度>99%。酸度(以醋酸计)<0.05%。灰分<0.02%。相对密度1.104(20℃)。粘度5.1×10-2Pa·s(25℃)。凝固点-35℃。沸点345℃(0.1MPa)、219℃(666Pa)。闪点(开杯法)199℃。折光率1.490(25℃)。挥发速度0.000081g/(cm2·h)(100℃)。在水中的溶解度0.0012%(30℃),可与蓖麻油、亚麻子油、中国桐油混溶。本品有良好的耐光性、耐碱性、耐寒性,即使在-35℃的低温亦不易结晶,与许多树脂相容(见表1-17)。

表1-17 丁基邻苯二甲酰基乙醇酸丁酯与树脂的相容性

(每100份树脂中相容的增塑剂份数)

用途 可作为聚氯乙烯、聚苯乙烯、丙烯酸树脂、醇酸树脂(用量5~40%)、酚醛树脂、聚醋酸乙烯酯、醋酸丁酸纤维素(用量30%左右)、醋酸丙酸纤维素、聚乙烯醇缩醛、氯化橡胶(用量10~25%)等许多聚合物的增塑剂,可赋予制品优良的柔软性、耐候性和弹性。本品无味、无臭、无毒、耐油和溶剂抽出性好,特别适用于制做食品包装和医疗用制品。

毒性 本品毒性小,毒性系数T=1000,以2.1g/kg体重的剂量对家兔经口染毒、以3.2~4.7g/kg体重的剂量对大白鼠经口染毒。均未见中毒。

日本、英国、意大利、荷兰等国允许本品用于接触食品的制品,美国食品药物管理局许可本品用于与食品包装有关的涂料和粘合剂(参见FDA121.2001,121.2514)。

国内生产厂

天津溶剂厂 江苏沙州县助剂厂

国外生产厂

随便看

 

离鸟网收录3541549条中英文词条,其功能与新华字典、现代汉语词典、牛津高阶英汉词典等各类中英文词典类似,基本涵盖了全部常用中英文字词句的读音、释义及用法,是语言学习和写作的有利工具。

 

Copyright © 2004-2024 vtrois.com All Rights Reserved
更新时间:2026/4/20 6:21:34