网站首页  词典首页


请输入您要查询的字词:

 

字词 一阶微分方程的可积类型
类别 中英文字词句释义及详细解析
释义

一阶微分方程的可积类型


可分离变量的微分方程 形如

M(x)M2(y)dx+N1(x)N2(y)dy=0

的方程称为可分离变量的微分方程,其中M1(x),M2(y),N1(x),N2(y)均为已知表达式.

求解方法:把变量x,y分离到两边后再积分,即

齐次方程(或齐次型方程) 形如

的方程叫做齐次方程,f为已知.

求解方法:

,则y=xu,y′=u+xu′,代入原方程得

u+xu′=f(u)

分离变量后即可积分.

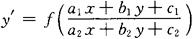
一般的齐次方程 形如

的方程称为齐次方程.

求解方法:

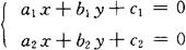
(1)当0时,将坐标平移到新原点O′(a,b).令

x=X+a,y=Y+b,

原微分方程即可化为齐次方程,其中a,b是

的解.

v=a1x+b1y

即可解得.

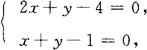
例 解微分方程(2x+y-4)dx+(x+y-1)dy=0的通解.

解 由

解得O′(3,-2).令x=X+3,y=Y-2.原方程成为

(2X+Y)dX+(X+Y)dY=0.

解得

再换回原变量,得通解

一阶线性微分方程

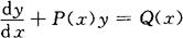
形如

的方程叫做一阶线性微分方程,P(x),Q(x)为已知函数.

当Q(x)恒为0时,

叫做一阶齐次线性微分方程.

当Q(x)不恒为0时,

叫做一阶非齐次线性微分方程.

求解方法

(1)齐次线性微分方程

分离变量得到

从而得

(2)非齐次线性微分方程

通解为

(3)一阶非齐次线性微分方程的常数变易法

设一阶非齐次线性微分方程的解为

其中u=u(x)是待定函数,代入一阶非齐次线性微分方程,解得

即得原方程的通解.

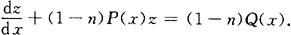
伯努利(Bernoulli)方程 形如

的方程称为伯努利方程.

求解方法:令z=y1-n,则

代入原方程得线性方程

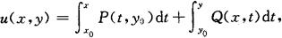
全微分方程 将一阶微分方程写成

P(x,y)dx+Q(x,y)dy=0.

如果它的左端恰好是某一个函数u=u(x,y)的全微分,则该方程叫做全微分方程,其通解为u(x,y)=C.

求解方法:

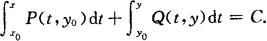
例 求解eydx+(xey-2y)dy=0.

解 因P(x,y)=ey,Q(x,y)=xey-2y.则

所以该方程为全微分方程,由

两边积分得

u(x,y)=xey+C(y),

又已知

由(1),(2)得

C(y)=-2y,

因此 C(y)=-y2+C1

所以 u(x,y)=xey-y2+C1

通解为

xey-y2=C(C=-C1).

方法2

后一个积分中将x视作常数.方程通解为

u(x,y)=C,

积分因子 若在方程

P(x,y)dx+Q(x,y)dy=0

中,.如果方程两边乘以因子μ(x,y)后成为全微分方程,即μ(x,y)P(x,y)dx+μ(x,y)Q(x,y)dy=0为全微分方程,则称μ(x,y)为积分因子

通常可考虑作为积分因子用的有等.

如方程ydx-xdy=0不是全微分方程,两边乘上后,

就是全微分方程.

一阶微分方程解的存在与惟一性定理 如果f(x,y)在点(x0,y0)处的一个邻域内连续,则微分方程y′=f(x,y)总存在满足初始条件y|x=x0=y0的解.如果在这个邻域内也是连续的,则解是惟一的.

正交轨线

(1)一阶微分方程的通解含有一个任意常数,它是一个单参数曲线族;反过来,单参数曲线族一般也可以看成一个一阶微分方程的通解.

(2)求单参数曲线族的微分方程的方法

设单参数曲线族的方程为

Q(x,y,C)=0,

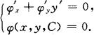
其中C为任意常数.两边对x求导,得

φ′x+φ′yy′=0.

如果上式不含有任意常数C,则上式就是该单参数曲线族所满足的微分方程;如果含有任意常数C,则需从下列方程组中消去C,才能得到该单参数曲线族的微分方程

例 求曲线族(x-c)2+y2=1的微分方程.

解 两边对x求导,得

2(x-c)+2yy′=0.

与原方程联立,消去c,得

(yy′)2+y2=1,

即为所求的微分方程.

(3)正交轨线

设两族曲线在每一个交点(x,y)上两条切线垂直,则微分方程F(x,y,y′)=0的正交轨线必满足.解此微分方程就得原方程的曲线族的正交轨线方程.

例 求曲线族x2+y2=C的正交轨线族方程.

解 x2+y2=C的微分方程为.它的正交轨线族的微分方程为,解得正交轨线族方程为y=kx.

随便看

 

离鸟网收录3541549条中英文词条,其功能与新华字典、现代汉语词典、牛津高阶英汉词典等各类中英文词典类似,基本涵盖了全部常用中英文字词句的读音、释义及用法,是语言学习和写作的有利工具。

 

Copyright © 2004-2024 vtrois.com All Rights Reserved
更新时间:2026/4/20 19:53:41