网站首页  词典首页


请输入您要查询的字词:

 

字词 ト—トヲイザ—101,101S
类别 中英文字词句释义及详细解析
释义

ト—トヲイザ—101,101S


【释文】:

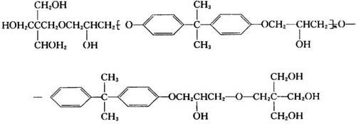
性质与用途 这两个品种为如下结构的多元醇化合物:

101S是101的抗粘连改性品种,它们的一般物性如表2-1所示。这两个品种可作为聚氯乙烯树脂的热稳定剂,对热、光有良好的稳定作用,防止树脂变色的效果大,不升华,成型加工性好,制品外观光泽美观,冲击强度和拉伸强度大,耐湿性好,长期暴露不粉化变质。本品可单独使用,但与钙、锌等低毒性金属皂稳定剂并用,效果尤为突出。

表2-1 ト—トラィサ-101和101S的物性

国外生产厂 日本东都化成公司

随便看

 

离鸟网收录3541549条中英文词条,其功能与新华字典、现代汉语词典、牛津高阶英汉词典等各类中英文词典类似,基本涵盖了全部常用中英文字词句的读音、释义及用法,是语言学习和写作的有利工具。

 

Copyright © 2004-2024 vtrois.com All Rights Reserved
更新时间:2026/4/19 1:16:18