网站首页  词典首页


请输入您要查询的字词:

 

字词 X2、t、F分布
类别 中英文字词句释义及详细解析
释义

X2、t、F分布


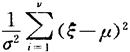
1.X2分布X2(v)

若ξ1,ξ2,…ξi,…,ξv为独立同分布N(μ,σ)随机变量,则称

服从自由度为v的X2分布X2(v)。

X2(v)的密度

其期望与标准差

E=v

图2.2-5 X2分布

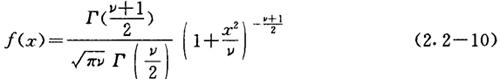
2.t分布t(v)

若ξ~N(0,1),vη2~X2(v),且ξ,η独立,则称ξ/η服从自由度为v的t分布t(v)。t分布亦称学生分布。t(v)的密度

其期望与标准差

E=0

当v→∞,t(v)分布成为正态分布N(0,1)。

t分布临界值满足

P(|t|<tp(v))=p (2.2-11)

t分布临界值见表2.2-1,

表2.2-1 t分布临界值tp(v)表

在评定不确定度时,要用t分布

图2.2-6 l分布

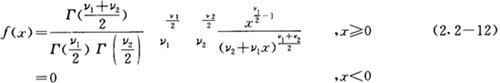
3.F分布F(v1,v2)

若v1ξ~X2(v1),v2η~X2(v2)且ξ,η独立,则称ξ/η服从自由度为v1,v2的F分布F(v1,v2)

F(v1,v2)的密度

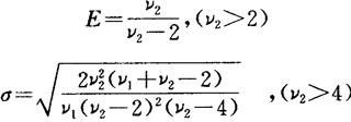
其期望与标准差

F分布用于检验两组测量精度是否一样、方差分析等。

图2.2-7 F分布

【参考文献】:

[1]王立吉,计量学基础,中国计量出版社,1988。

[2]BIPM、IEC、IFCC,IUPAC,IUPAP,OIML,Guide to the Expression of Uncertainty in Measurement, ISO,1993.

[3]刘智敏,不确定度原理,中国计量出版社,1993。

[4]刘智敏,误差分布论,原子能出版社,1988。

[5]刘智敏,误差与数据处理,原子能出版社,1983。

[6]Liu Zhimin(刘智敏),Measurement Uncertainty and Its Correlation Combination,Proceeding of ISEM, 1993.

[7]国家计量总局量值传递处编,计量技术考核纲要,计量出版社,1981。

[8]国家技术监督局审定,刘智敏等编审,全国计量检定人员考核统一试题集第六分册三,误差及数据处理,陕西科学技术出版社,1990。

随便看

 

离鸟网收录3541549条中英文词条,其功能与新华字典、现代汉语词典、牛津高阶英汉词典等各类中英文词典类似,基本涵盖了全部常用中英文字词句的读音、释义及用法,是语言学习和写作的有利工具。

 

Copyright © 2004-2024 vtrois.com All Rights Reserved
更新时间:2026/4/21 18:15:17