网站首页  词典首页


请输入您要查询的字词:

 

字词 WS-1矿灯的价值分析
类别 中英文字词句释义及详细解析
释义

WS-1矿灯的价值分析


矿灯是矿工井下劳动的照明工具。国产矿灯同国外产品相比还有差距。因此,迫切需要对产品进行更新。

一、Ⅰ型矿灯零件成本分布的分析(见表1、2、3、4、5)

表1 成本分析表

表2 Ⅰ型矿灯A组零部件成本占全灯成本比重表

表3 Ⅰ型矿灯B组零部件成本占全灯成本比重表

表4 正级板组零件数

表5 负极板组零件数

二、Ⅰ型矿灯产品功能的分析及评价

1.Ⅰ型矿灯功能分析

矿灯的基本功能是安全照明。要求具备使用安全,能连续照明,随身携带不碍劳动,并能随眼移动照明等功能。

2.三个部件的功能分析

(1)蓄电池系统的功能分析。

蓄电池要求具有供电及蓄电的功能,也就是具有充放电的功能。蓄电池容器要求具有透气、注液、吸液、不漏液、耐酸、绝缘的功能;要有一定有机械强度和稳定的化学性能;要求具有随身携带的功能,这就要求其重量要轻。

(2)电缆上盖具备电能传输的功能。

(3)灯头要具有光源照明,反射光源,透光照射,安全照明(超前断电),控制电能,电池充电,灯头携带等功能。

3.排列功能系统图

Ⅰ型矿灯功能系统图(见下图):

4.产品功能评价

该矿灯由125个零件组成。其中47个零件是主要的,已由矿灯成本ABC分析图作了分析。现主要对这47个零件所组成的13个关键零部件作功能评价。由9位工程技术人员参加,评价方法是应用01评分法。将功能评价作为评分评定,各自分别评定,然后再汇总计算平均值。13个主要零部件的评价结果,以功能评价系数来表示。评价表及评价综合统计表分别见表6和表7。现以第三号评价者的评定为例,得出结果,见表7。

表6

表7

三、Ⅰ型矿灯产品更新的提案选择及其评价

提案内容有两个方案:

1.第一方案

对产品进行更新换代。根据对矿灯光效略有提高、电池在安全使用不变及不漏酸液的条件下,更新原产品,也就是要达到功能提高而成本下降的目标。

(1)光源试验:

矿灯光效试验的目标,是能否做到与原灯同样的亮度或有所提高的条件下,使矿灯电流有所下降,直接导致功率下降,从而使蓄电供电功率减少,以达到体积减小重量减轻的目的。

更新矿灯指标为4伏,0.6安,光通量大于22流明,可采用充氪气或氙气的新光源。通过试制,矿灯在4伏0.6安和充氪气的条件下,光通量可达24-26流明,灯泡寿命可达250小时,与原灯泡寿命相同。而电源已减少0.1安培。

(2)电源试验:

在矿灯光源试验成功的基础上,进行蓄电池极板容量试验,要求将原放电功率2.8瓦、容量8安时,减小为放电功率2.4瓦、容量为7安时,然后进行工艺配方试验,以达到缩小极板尺寸的目标。经过多次反复试验,确定了极板配方工艺及极板结构尺寸。

(3)重量预测

预测按第一方案更新后产品的重量。该矿灯的功率为2.8瓦,重量为2.25kg.按第一方案更新后矿灯的功率为2.4瓦,采用比例法计算。

设:按第一方案更新后矿灯的测算重量为G7kg

式中:G8为Ⅰ型矿灯重量2.25kg;

W8为Ⅰ型矿灯功率2.8瓦;

W7为按第一方案更新后矿灯功率2.4瓦。代入原式:

其中:按第一方案更新后矿灯的结构有变化,材质有变化,因而重量G7还要修正,使其逼近实际值。设修正值为G8(KG)。

G8=G7-(G1+G2+G3)

式中;G1为胶槽材质改变后预计可减轻的重量(kg);

G2为盖装配,锁装配,锁装配材质改变后预计可减少的重量(kg);

G3为胶槽体积缩小后预计可减轻的重量(kg)。

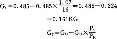
其中 G1=GY-GY×

式中:GY为Ⅰ型矿灯胶槽重量0.485kg;

PS为ABS塑料比重1.07;PY为硬橡胶槽壳比重。代入原式:

式中:GU为Ⅰ型矿灯盖装配和锁装配的重量0.1064kg;

PS为ABS塑料比重1.07;

PK为耐酸不锈钢比重7.85。代入原式:

式中:Gw为胶槽材质由硬橡胶改为ABS料后的重量(kg);

BS为按第一方案更新后矿灯胶槽预计的外形尺寸147×53.5×32;

BY为Ⅰ型矿灯胶槽的外形尺寸59×58.5×31。其中:

式中:GY为Ⅰ型矿灯胶槽重量0.485kg;

PS为ABS塑料比重1.07;

PY为硬橡胶胶槽壳比重1.6。

代入: Gw=0.485×=0.324KG

代入原式: G3=0.324-0.324×

=0.324-0.282=0.042kg

将G1=0.161KG,G2=0.0919KG,G3=0.042KG,G7=1.928KG。

代入前式:Gs=G7-(G1+G2+G3)=1.928-(+0.161+0.0919+0.042)=1.928-0.2949=1.6331KG

所以,预测按第一方案更新后的矿灯重量为1.6331kg。

(4)成本预测

预测按第一方案更新后产品的成本。WS-1矿灯的成本为38.686元,重量为2.25kg。预计更新后矿灯的重量为1.6331kg。采用比例外推法求测。

设:按第一方案更新后矿灯的测定成本为C7(元)

式中:C8为WS-1矿灯成本为38.686元;

G8为Ⅰ型矿灯重量为2.25kg;

Gs为矿灯按第一方案更新后的预计重量为1.6331kg。

代入原式:C7=×1.6331=28.0792元

其中:按第一方案更新后矿灯的材质价格,加工工艺,劳动生产率有变化,因而成本C7还要修正,使其逼近实际值,设修正值为Cs(元)

Cs=C7-(CY-C1)

式中:CY为Ⅰ型矿灯胶槽成本为10元;

C1为Ⅰ型矿灯胶槽材质、工艺、体积变化后的预计成本。

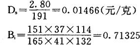
其中: C1=DS×GY×Bi

式中:Ds为ABS塑料单位价元/克,Ds=

DY为Ⅰ型矿灯胶槽重量485克;

Bi为体积小比值,Bi=

C10为ABS塑料胶槽壳成本价2.80元;

G10为ABS塑料胶槽壳重量191克;

Bis为胶槽壳改进后尺寸151×37×114;

Biy为胶槽壳改进前尺寸165×41×132。

代入:

C1=DS×GY×Bi=0.01466×485×0.71325

=5.0712(元)

将C7=28.0792元,CY=10(元),C1=5.0712(元)代入:

G3=C7-(CY-C1)=28.0792-(10-5.0712)

28.0792-4.9288=23.1504

因此,预测第一方案更新后的矿灯重量修正值为1.6331kg,成本修正值为23..1504元。见表8:

表8

(5)主要零部件成本预测:

预测按第一方案更新后产品主要零部件的成本。Ⅰ型矿灯主要零部件的成本为32.606(元)。

设:按第一方案更新后矿灯主要零部件成本为CR(元)

式中:CRS为WS-1矿灯主要零部件成本32.606元;

Cs为按第一方案更新后矿灯成本修正值23.1504(元);

C7为按第一方案更新后矿灯成本测算值28.0792(元);

C8为Ⅰ型矿灯成本为38.686(元)。

(6)重量、成本预测汇总:

按第一方案更新后矿灯的预测数据整理。

Ⅰ矿灯重量、成本与按第一方案更新后矿灯重量、成本预测对比见表9:

表9

(7)分析第一方案降低成本的目标及预期经济效果:

第一方案中有7个零部件需要从降低成本入手,预计要降低的成本是14.5678元。有6个零部件需要从提高功能入手。预计要增加的成本是3.5620元。如按分析的差价则可低11.006元,因此,重点应先从7个零部件降低成本入手。

以年产50万个矿灯计算,则预计年节约数为:

11.006(元/个)×50(万个/年)=5503000(元/年)

第一方案作为更新产品的方案,在13个主要零部件上预计可以降低成本11.006(元/个)。与Ⅰ型矿灯的主要零部件相比,预计可以降低成本33.8%,重量预计可以减轻28.9~15.6%。

2.第二方案

在原灯基础上改进,从差价表中可以分析出改进目标。见表10。

表10 Ⅰ型矿灯主要零部件用功能评价系数分配的预计成本与目前成本的差价表

根据功能评价系数分配的成本差价,有4个零部件可以从减少成本入手,有9个零部件需从提高功能入手。现分别整理如下:见表11、12

表11 需降低成本和提高功能的零部件一览表

表12 需提高功能的零部件

从功能评价系数分配的预计成本的差价表中,可以计算出价值系数;从价值系数中,可以反映出这些零部件是否需要花费这些成本。

(1)价值系数小于1的零部件有4个。

胶槽的价值系数为0.3855

盖装配的价值系数为0.33027

锁装配的价值系数为0.41358

带套的价值系数为0.21554

这4个零部件的功能评价系数与成本系数相比太大,重点应该是降低成本。

(2)价值系数大于1的零部件有9个。但其中价值系数大于4的有2个零件。

灯泡的价值系数为4.35330

反射器的价值系数为4.22282。

这两个零件的能功与成本相比,说明不是主要的对象。

由于第二方案是考虑降低成本,部分改进零部件,因此,其所有零部件在功能不变的条件下,将价值系数小于1的四个零部件作改进。主要从材料上入手,相应在结构的工艺上作些改进。

(3)第二方案预计节约数,以年产50万个计算,

10.5218×50000=5260900(元/年)

3.方案评价意见

从技术经济效果上比较两个方案。第一方案设计可以节约成本5503000(元/年)。且功能有所提高。如光通量可提高9~18%。预计重量减轻15.6~28.9%。

第二方案预计可以节药成本5260900(元/年),其功能没有变化。

第一方案比第二方案还可多节约5503000(元/年)-5260900(元/年)=242100(元/年)。

从技术经济效果来分析,第一方案优于第二方案。采用第一方案作产品更新换代的方案是合适的,在技术上是可行的,经济效益是好的,因而是可取的。

四、Ⅰ型矿灯更新后的技术经济分析

按第一方案更新后矿灯的新型号为Ⅱ型矿灯

1.更新后的产品Ⅱ型矿灯全年净节约值

设Q为全年净节约值(元)Q=[C8-CwS-2]×H-CM

式中:C8为Ⅰ型矿灯成本38.686元;

CWS-2为Ⅱ型矿灯成本2318元。

H为年产量以50万盏计算:

=(工资、原材料、外协作、模具费、出差费、试验测试费、试验设备费、运输费、资料费、辅助管理费等)780136元(价值工程活动费)

代入①:Q=(38.686-23.18)×500000-780136=7753000-780136=6972864(元)

全年净节约值为6972864(元)

2.节约百分数

设P为节约百分数:

节约百分数为40.1%

3.投资效益百分数

设B为投资效益百分数

4.更新后的Ⅱ型矿灯与Ⅰ型矿灯在技术经济上的对比。见表13:

表13

五、产品更新的总结

更新后的产品有10个零部件成本有下降。从实际效果来看价值工程的作用有三方面:

(1)从重量比例法中预测新灯重量为1.6~1.9kg,现实际是1.5kg,与预测值的误差率为6.25~21%。平均误差率为10.8%。

(2)从成本比例外推法中预测新灯成本为24~28元,现实际成本是23.18元,与预测值的误差率为3.4~17.2%,平均误差率为10.3%。

(3)Ⅱ型矿灯的主要零部件成本与预测值相比,有8个零部件成本下降,下降值为5.1186元。有3个零部件成本上升值为0.6382元,因此,可以看出应用评价系数来分配预计成本,可以起到控制成本的作用。

随便看

 

离鸟网收录3541549条中英文词条,其功能与新华字典、现代汉语词典、牛津高阶英汉词典等各类中英文词典类似,基本涵盖了全部常用中英文字词句的读音、释义及用法,是语言学习和写作的有利工具。

 

Copyright © 2004-2024 vtrois.com All Rights Reserved
更新时间:2026/4/21 19:32:25