网站首页  词典首页


请输入您要查询的字词:

 

字词 VE的基本公式
类别 中英文字词句释义及详细解析
释义

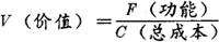
VE的基本公式


就是计算效益或效率的公式,即:

式中,F表示产品(服务)的实际效用;

C表示为实现F所付出的全部成本,包括生产成本与使用成本,即C=C生产+C使用

V表示产品的效益或效率。

就是说,效益是投入的全部资源与产生出的功能的比值,也可以记作:效益=产出功能/投入成本。

随便看

 

离鸟网收录3541549条中英文词条,其功能与新华字典、现代汉语词典、牛津高阶英汉词典等各类中英文词典类似,基本涵盖了全部常用中英文字词句的读音、释义及用法,是语言学习和写作的有利工具。

 

Copyright © 2004-2024 vtrois.com All Rights Reserved
更新时间:2026/4/19 8:19:28