网站首页  词典首页


请输入您要查询的字词:

 

字词 Tinuvin 622
类别 中英文字词句释义及详细解析
释义

Tinuvin 622


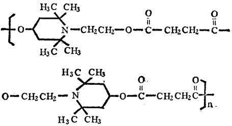
【结构式】:

瑞士Ciba-Geigy公司开发的新型受阻胺类光稳定剂,具有如下化学结构:

【释文】:

该品为聚合型光稳定剂,分子量>2000。有效N含量4.9%。粉末状物,熔点130~145℃。适用于聚丙烯、聚乙烯、聚酯和软质聚氯乙烯等塑料。一般用量为1~2%。1982年美国食品和药物管理局(FDA)许可本品用于接触食品的塑料。

随便看

 

离鸟网收录3541549条中英文词条,其功能与新华字典、现代汉语词典、牛津高阶英汉词典等各类中英文词典类似,基本涵盖了全部常用中英文字词句的读音、释义及用法,是语言学习和写作的有利工具。

 

Copyright © 2004-2024 vtrois.com All Rights Reserved
更新时间:2026/4/19 18:06:51