网站首页  词典首页


请输入您要查询的字词:

 

字词 Mark LA-57
类别 中英文字词句释义及详细解析
释义

Mark LA-57


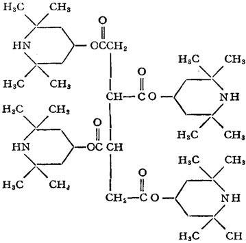
【结构式】:

日本ァデカ·ァ-ガス化学公司1980年开发的受阻胺类光稳定剂。具有如下化学结构:

【释文】:

该品分子量7900有效N含量7.1%。光稳定效能高,适用于聚乙烯、聚丙烯、聚苯乙烯、ABS树脂及聚酯等树脂。

随便看

 

离鸟网收录3541549条中英文词条,其功能与新华字典、现代汉语词典、牛津高阶英汉词典等各类中英文词典类似,基本涵盖了全部常用中英文字词句的读音、释义及用法,是语言学习和写作的有利工具。

 

Copyright © 2004-2024 vtrois.com All Rights Reserved
更新时间:2026/4/20 19:56:08