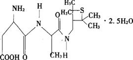
结构式:

分子式:C14H25N3O4S·2.5H2O
相对分子质量:376.5
一、阿力甜的鉴别
1.试剂和溶液
1.1 茚三酮。
1.2 正丁醇。
1.3 冰乙酸。
1.4 0.001mol/L(
KMnO4)溶液。
2.操作步骤
2.1 取5mL0.3%茚三酮-正丁醇溶液及2mL冰乙酸,加10mg样品,加热,产生深蓝紫色。
2.2 取5mL(新配制)0.001mo1/L(
KMnO4)溶液,加10mg样品混合,溶液由紫色变棕色。
二、阿力甜的含量测定
1.原理
阿力甜,它的β-异构体和丙氨酸酰胺,可用反相离子对HPLC检测,用外标法对比。
2.试剂和溶液
2.1 乙腈 色谱纯。
2.2 磷酸二氢钠。
2.3 l-辛磺酸钠(1-Octanesulfonic Acid Sodium Salt)。
2.4 磷酸。
2.5 阿力甜标准品。
2.6 β-异构体标准品。
2.7 丙氨酸酰胺标准品。
2.8 标准溶液 准确称取β-异构体和丙氨酸酰胺各25mg,移至500mL容量瓶中,用50mL甲醇助溶,用蒸馏水稀释至刻度,此液为贮备液A1,贮存于冰箱。
取15mL储备液A1移入50mL容量瓶,用水稀释至刻度,此液为储备液A2。
精确称50mg阿力甜标准品,移入10mL容量瓶,加5mL储备液A2,有水稀释至刻度,此液为工作标准液W1。取5mLW1用蒸馏水稀释至50mL,此液为工作标准液W2。
3.测定方法
3.1 HPLC参考条件。
流速:1mL/min;
样品量100μL;
检测波长:217nm;
检测灵敏度:0.01AUFS;
积分仪衰减:64;纸速:0.5cm/min;
出峰时间:20min。
3.2 样品测定 精确称取50mg阿力甜样品,移至10mL容量瓶,用水溶解稀释至刻度,标记为S1,吸取5mLS1用水稀释至50mL,标记为S2。
开机后,待柱平衡后,取溶液W1进样3次,计算β-异构体和丙氨酸酰胺平均峰面积。取标准液W2进样3次,计算阿力甜平均峰面积。
取阿力甜样品S1溶液,进样3次,计算β-异构体和丙氨酸酰胺平均峰面积;取阿力甜样品S2溶液,进样3次,计算阿力甜的平均峰面积。
4.分析结果的表述
按式(11-16)计算样品中阿力甜质量分数(w)及其杂质含量。

式中 mstd——校正水分含量的参比标准品质量
Pstd——参比标准品的纯度(100.00-不纯物总量)
Rstd——标准液中分析峰的响应值
msmp——水分含量校正后样品质量
Rsmp——样品液中分析峰的响应值
D.F.——稀释因子

计算β-异构体和丙氨酸酰胺质量分数(w)公式如下:

式中 mstd——参比标准质量(未校正水分)
msmp——样品质量(未校正水分)
Pstd,Rstd和Rsmp——定义同上
D.F.——稀释因子

表11-1

注:典型峰保留时间。