网站首页  词典首页


请输入您要查询的字词:

 

字词 GPS卫星系统的基本原理
类别 中英文字词句释义及详细解析
释义

GPS卫星系统的基本原理


1.GPS卫星信号的组成

(1)载波信号

为提高测量精度,GPS卫星使用两种不同频率的载波,L1载波,波长λ1=19.03cm,频率f1=1575.42MHZ;L2载波,波长λ2=24.42cm,频率f2=1227.60MHz。

(2)测距码

GPS卫星信号中有两种测距码,即C/A码和P码。

C/A码:C/A码是英文粗码/捕获码(Coarse/Acquisition code)的缩写。它被调制在L1载波上。C/A码的结构公开,不同的卫星有不同的C/A码。C/A码是普通用户用以测定测站到卫星间距离的一种主要的信号。

P码:P码的测距精度高于C/A码,又被称为精码,它被调制在L1和L2载波上。因美国的AS(反电子欺骗)技术,一般用户无法利用P码来进行导航定位。

(3)数据码(D码)

数据码即导航电文。数据码是卫星提供给用户的有关卫星的位置,卫星钟的性能、发射机的状态、准确的GPS时间以及如何从C/A码捕获P码的数据和信息。用户利用观测值以及这些信息和数据就能进行导航和定位。

2.GPS的常用坐标系

GPS是一个全球性的定位和导航系统,其坐标也是全球性的,为了使用的方便,通常通过国际协议,确定一个协议地球坐标系(Conventional Terrestrial System)。目前,GPS测量中所使用的协议地球坐标系称为WGS-84世界大地坐标系(World Geodetic System)。

WGS-84世界大地坐标系的几何定义是:原点是地球的质心,Z轴指向国际时间局BIH1984.0定义的协议地球北极(CTP)方向,X轴指向BIH1984.0的零子午面和CTP相对应的赤道交点,Y轴垂直于ZOX平面且与Z、X轴构成右手坐标系,如图18-133所示。

图18-133 WGS-84世界大地坐标系

在实际测量定位工作中,各国一般采用当地坐标系,如我国采用的C80坐标系。因此,应将WGS-84坐标系坐标转化为当地坐标值。

3.GPS定位原理

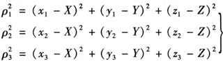
GPS定位的基本原理是空中后方交会。如图18-134所示,用户用GPS接收机在某一时刻同时接收三颗以上的GPS卫星信号,测量出测站点(接收机天线中心)至三颗卫星的距离ρi(i=1、2、3、…),通过导航电文可获得卫星的坐标(xi,yi,zi)(i=1、2、3、…),据此即可求出测站点的坐标(X、Y、Z)。

图18-134 GPS定位原理

为了获得距离观测量,主要采用两种方法:一是测量GPS卫星发射的测距码信号到达用户接收机的传播时间,即伪距测量;另一个是测量具有载波多普勒频移的GPS卫星载波信号与接收机产生的参考载波信号之间的相位差,即载波相位测量。采用伪距观测量定位速度最快,而采用载波相位观测量定位精度最高。

4.伪距测量与载波相位测量

(1)伪距测量

从上面的公式组可知,欲求测站点的坐标(X、Y、Z),关键的问题是要测定用户接收机天线至GPS卫星之间的距离。站星的距离可利用测距码从卫星发射至接收机天线所经历的时间乘以其在真空中传播速度求得。但应注意,GPS采用的单程测距原理,它不同于电磁波测距仪中的双程测距。这就要求卫星时钟与接收机时钟要严格同步。但实际上,两者难以严格同步,因此存在不同步误差,另外,测距码在大气中传播还受到大气电离层折射及大气对流层的影响,产生延迟误差。因此,测距码所求得距离值并非真正的站星几何距离,习惯上称其为“伪距”。

由于卫星钟差、电离层折射和大气对流的影响,可以通过导航电文中所给的有关参数加以修正,而接收机的钟差却难以预先准确地确定,所以把接收机的钟差当作一个未知数,与测站坐标一起解算。这样,在一个观测站上要解出4个未知参数,即3个点位坐标分量和1个钟差参数,因此至少同时观测4颗卫星。

一般来说,利用C/A码进行实时绝对定位,各坐标分量精度在5~10m。

(2)载波相位测量

利用GPS卫星发射的载波作为测距信号,由于载波的波长(λ1=19cm,λ2=24cm)比测距码波长短很多,因此,对载波进行相位测量,就可能得到较高的定位测量精度,实时单点定位,各坐标分量精度在0.1~0.3m。

假设在某一时刻接收机所产生的基准信号(即频率、初相都与卫星载波信号完全一致)的相位为Φ0(R),接收到的来自卫星的载波信号的相位为Φ0(S),二者之间的相位差为[Φ0(R)-Φ0(S)],已知载波的波长λ就可以求出该瞬间从卫星至接收机的距离:

ρ=λ[Φ°(R)-Φ°(S)]=λ(N0+△Φ)

式中 N0——整周数;

△Φ——不足一整周的小数部分。

在进行载波相位测量时,仪器实际能测出的只是不足一整周的部分△Φ。因为载波只是一种单纯的余弦波,不带有任何识别标志,所以我们无法知道正在量测的是第几周的信号。如是在载波信号测量中便出现了一个整周未知数N0(又称整周模糊度),通过其他途径解算出N0后,就能求得卫星至接收机的距离。

5.GPS定位方法

GPS定位的方法有多种,根据接收机的运动状态可分为静态定位和动态定位,根据定位的模式又可分为绝对(单点)定位和相对定位(差分定位),按数据的处理方式可分为实时定位和后处理定位。

(1)绝对定位

绝对定位又称为单点定位,它是利用一台接收机观测卫星,独立地确定接收机天线在WGS-84坐标系的绝对位置。绝对定位的优点是只需一台接收机,如图18-134所示。该法外业方便,数据处理简单,缺点是定位精度低,受各种误差的影响比较大,只能达到米级。绝对定位一般用于导航和精度要求不高的情况。

(2)相对定位

如图18-135所示,用两台GPS接收机分别安置在基线两端,同步观测相同的卫星,以确定基线端点在WGS-84坐标系统中的相对位置或基线向量(基线两端坐标差)。由于同步观测相同的卫星,卫星的轨道误差,卫星的钟差,接收机的钟差以及电离层、对流层的折射误差等对观测量具有一定的相关性,因此利用这些观测量的不同组合,进行相对定位,可以有效地消除、削弱上述误差的影响,从而提高定位精度。

图18-135 GPS相对定位

此法的缺点是至少需要两台精密测地型GPS接收机,并要求同步观测,外业组织和实施比较复杂。

(3)实时定位和后处理定位

对GPS信号的处理,从时间上可划分为实时处理及后处理。实时处理就是一边接收卫星信号一边进行计算,实时地解算出接收机天线所在的位置、速度等信息。后处理是指把卫星信号记录在一定的介质上,回到室内统一进行数据处理以进行定位的方法。

(4)静态定位和动态定位

所谓静态定位,就是待定点的位置在观测过程中固定不变。在测量中,静态定位一般用于高精度的测量定位。静态定位由于接收机位置不动,可以进行大量的反复观测,所以可靠性强,定位精度高。

所谓动态定位,就是待定点在运动载体上,在观测过程中是变化的。动态定位的特点是可以测定一个动态点的实时位置,多余观测量少,定位精度较低。

静态相对定位的精度一般在几毫米到几厘米范围内,动态相对定位的精度一般在几厘米到几米范围内。

一般说来,静态定位多采用后处理,而动态定位多采用实时处理。

(5)实时动态定位测量

随着快速静态测量、准动态测量、动态测量尤其是实时动态定位测量工作方式的出现,GPS在测绘领域中的应用开始深入到各种测量工作之中。

实时动态定位测量,即GPS RTK测量技术(其中RTK为实时动态的意思,英文是Real Time Kinematic)。GPS RTK测量技术原理:

RTK的原理很容易理解,在基准站上安置一台GPS接收机,对所有可见GPS卫星进行连续地观测,实时地发送给流动站。在流动站上,GPS接收机在接收GPS卫星信号的同时,通过无线电接收设备,接收基准站传输的观测数据,然后根据相对定位的原理,实时地计算并显示用户站的三维坐标及其精度。

实时动态(RTK)定位技术既具有静态测量的精度,又能够实时地提供测站点在指定坐标系中的三维坐标,并达到厘米级的高精度。

精密GPS定位都采用相对技术。无论是在几点间进行同步观测的后处理(RTK),还是从基准站将改正值及时地传输给流动站(DGPS)都称为相对技术。以采用值的类型为依据可分为4类。

1)实时差分GPS,精度为1~3m;

2)广域实时差分GPS,精度为1~2m;

3)精密差分GPS,精度为1~5cm;

4)实时精密差分GPS,精度为1~3cm。

差分的数据类型有伪距差分、坐标差分和相位差分三类,前两类定位误差的相关性会随基准站与流动站的空间距离的增加其定位精度迅速降低。故RTK采用第三种方法。

RTK的观测模型为

Φ=ρ+c(dT-dt)+λN+dtrop-dion+dpral+ε(Φ)

式中 Φ——相位测量值(m);

ρ——星站间的几何距离(m);

c——光速;

dT——接收机钟差;

dt——卫星钟差;

λ——载波相位波长;

N——整周未知数;

dtrop——对流层折射影响;

dion——电离层折射影响;

dρral——相对论效应;

ε(Φ)——观测噪声参数。

因轨道误差、钟差、电离层折射及对流层折射影响难于精确模型化,所以实际的数据处理中常用双差观测值方程来解算,在定位前需先确定整周未知数,这一过程称为动态定位的“初始化”(On The Fly即OTF)。实现OTF的方法有很多种,美国天宝导航有限公司的做法是:采用伪距和相位相结合的方法。首先用伪距求出整周未知数的搜索范围,再用L1和L2相位组合和后继观测历元解算和精化。利用伪距估计初始位置和搜索空间,快速定出精确的初始位置。

6.GPS系统定位的特点

GPS定位以其高精度、全球性、全天候、高效率、多功能、操作简便、应用广泛等特点着称。

(1)定位精度高

实践证明:伪距观测单点实时定位精度,P码为10m左右,C/A码为40m左右,若事后处理精度可达3~5m。载波相位测量,相对定位精度可达10-7~10-8。在300~1500m工程精密定位中,1小时以上的观测,解其平面位置误差小于1mm。

(2)观测时间短

目前,20km以内的相对静态定位,仅需15~20分钟,实时动态定位时,每个流动站与基准站相距在15km以内时,流动站观测只需1~2分钟。

(3)全天候全球覆盖

由于GPS有24颗卫星,且分布合理,轨道高达20200km,所以地球上任何地方在任何时间至少都可以同时观测到4颗GPS卫星,因而可以提供全天候的导航定位服务。由于用户只需接收GPS信号,无需发射任何信号,因此,隐蔽性能好,可同时容纳无限量用户使用的特点。

(4)测站间无需通视

GPS定位测站间无需通视,只需测站上空较为开阔即可,因而节省了大量造标费用,并且选点灵活,可稀可密。

(5)操作简单

随着GPS接收机的不断改进,自动化程度越来越高,接收机体积越来越小,重量越来越轻,操作十分简便,使野外工作变得轻松愉快。

(6)功能多,应用广

GPS系统不仅可用于测量、导航,还可用于测速、测时。测速的精度可达0.1m/s,测时的精度可达几十毫微米。应用领域从军事、公安到民用各个部门,交通、邮电、石油、煤矿、建筑、气象、地质、测绘、农业、林业、水利、土地管理等都有十分广泛的应用。

随便看

 

离鸟网收录3541549条中英文词条,其功能与新华字典、现代汉语词典、牛津高阶英汉词典等各类中英文词典类似,基本涵盖了全部常用中英文字词句的读音、释义及用法,是语言学习和写作的有利工具。

 

Copyright © 2004-2024 vtrois.com All Rights Reserved
更新时间:2026/4/20 18:49:24