网站首页  词典首页


请输入您要查询的字词:

 

字词 F-873发泡剂
类别 中英文字词句释义及详细解析
释义

F-873发泡剂


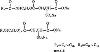
结构式

性能 黄色透明液体,低温会产生混浊。发泡力强,具有抗油、盐污染能力,有良好的洗涤力、钙皂分散力、低刺激性。和其它表面活性剂配伍良好,在洗涤剂配方中加入5%即可降低烷基苯磺酸钠、十二醇硫酸钠、十二烷基醚硫酸钠的刺激性。

质量规格(北京日化研究所)

总固体,%40±1 不皂化物,%≤2.5

pH值6.5±1 泡沫起始高度>180mm20min后>170mm

用途 用作香波、浴液、地毯等多种洗涤剂的优良原料。

包装 200kg铁塑桶装。

国内生产厂 北京日化研究所。

随便看

 

离鸟网收录3541549条中英文词条,其功能与新华字典、现代汉语词典、牛津高阶英汉词典等各类中英文词典类似,基本涵盖了全部常用中英文字词句的读音、释义及用法,是语言学习和写作的有利工具。

 

Copyright © 2004-2024 vtrois.com All Rights Reserved
更新时间:2026/4/18 19:40:56