网站首页  词典首页


请输入您要查询的字词:

 

字词 Eosin B
类别 中英文字词句释义及详细解析
释义

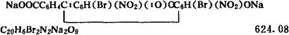
Eosin B


〔71-9B〕

[伊红 B;蓝光曙红;二溴二硝基荧光素二钠;4′,5′-Dibromo2′,7′-dinitro fluorescein disodium salt;Caesar red;Eosin scar let;Eosin Ⅰ bluish;Hydroxy dibromo dinitro-o-carboxy phenyl fluorone sodium;Nophalin G;Saffrosine]

C.I.45400

性状 红色粉末。溶于水,有绿色萤光。微溶于醇。

随便看

 

离鸟网收录3541549条中英文词条,其功能与新华字典、现代汉语词典、牛津高阶英汉词典等各类中英文词典类似,基本涵盖了全部常用中英文字词句的读音、释义及用法,是语言学习和写作的有利工具。

 

Copyright © 2004-2024 vtrois.com All Rights Reserved
更新时间:2026/4/19 4:31:27