网站首页  词典首页


请输入您要查询的字词:

 

字词 EDTA返滴定法
类别 中英文字词句释义及详细解析
释义

EDTA返滴定法


1.适用范围 用EDTA测钙镁时,本法能解除大量磷酸根存在时的干扰。方法在于加入过量的EDTA溶液,使磷酸钙、镁溶解,钙镁被EDTA络合。过量的EDTA用标准钙液回滴。

2.试剂配制

(1)0.02molEDTA标准液:称取7.44gEDTA二钠盐溶解于无二氧化碳的蒸馏水中,微微加热助溶,冷却后定容于1L。用标准钙液标定。标定方法可参照第十三章土壤阳离子交换性能测定。

(2)0.100mol钙标准液:参照同上。

(3)20%氢氧化钾溶液:20g氢氧化钾溶于无二氧化碳的蒸馏水中,稀释至100ml。须随用随配。

(4)pH10氯化铵—氢氧化铵缓冲液:参照同试剂(1)。

(5)0.1%孔雀绿指示剂:0.1g孔雀绿〔C23H25N2Cl(盐酸盐)〕溶于100ml水中,贮于滴瓶中。

(6)0.02%钙黄绿素指示剂:取0.02g钙黄绿素溶于100ml水中,贮于滴瓶中。

(7)钙镁混合指示剂:参照同试剂(1)。

(8)浓氨水。

3.测定步骤 吸取经干灰化制备的待测液10ml二份,分别置于二个200ml三角瓶中。

一份测定钙镁总量:将待测液用浓氨水约2-3滴中和。再加入pH10氯化铵—氢氧化铵缓冲液3.5ml,使被滴定溶液的pH达10。加入0.1-0.2g钙镁混合指示剂,和0.02molEDTA标准液10ml(此时溶液应为纯蓝色,示EDTA已过量),然后用0.0100mol钙标准液滴定过剩的EDTA溶液,直至溶液由蓝色突变成紫红色即达终点。记下钙标准液读数V。按同样操作步骤用10ml空白提取液(可用0.15N盐酸10ml代之)做钙镁总量的空白标定,记下钙标准液读数V0,因此待测液中钙镁总量消耗的钙标准液毫升数为(V0-V)。

另一份测定钙量:加1滴0.1%孔雀绿指示剂,此时颜色呈绿色,用新配制的20%氢氧化钾调到无色,然后再多加2ml,此时滴定液的pH应在12.5以上。加入0.02%钙黄绿素指示剂0.5ml左右,加入0.02m0lEDTA标准液10ml(此时溶液应呈棕红色,示EDTA已过量),然后用0.0100mol钙标准液滴定过剩的EDTA溶液,使由原来的棕红色突变到黄绿色荧光出现(须用黑色纸作衬托)即达终点。记下读数V′。同时用10ml空白提取液(用0.15N盐酸代之)按同样操作步骤作钙空白标定,记下钙标准液读数为V0′,因此待测液中钙消耗的钙标准液毫升数为(V0′-V′)。而镁为(V0-V)-(V0′-V′)。

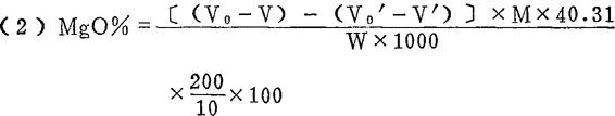
4.结果计算

式中:(V0′-V′)——钙量测定时空白标定及待测液中滴定剩余EDTA时消耗钙标准液体积之差值(ml);

M——钙标准液的摩尔浓度;

56.08——氯化钙的毫克分子量(mg);

——取用量倍数;

1000——将毫克换算为克的除数。

式中:(V0-V)——为钙镁总量测定时空白标定及待测液中滴定剩余EDTA时消耗钙标准液体积之差值(ml);

〔(V0-V)-(V′-V′)〕——为钙镁总量与钙量测定时消耗钙标准液之差值(ml),即为待测液中镁量所消耗钙标准液的毫升数;

40.31——氧化镁毫克分子量(mg)。

5.注释

①钙黄绿素指示剂,常因纯度较差,或放置过久,会分解析出萤光黄,致使滴定终点不够敏锐,经提纯后,可使终点突跃清晰,且比原来试剂稳定,其水溶液可保持于暗处200d稳定不变。提纯方法:称取市售钙黄绿素3.84g,溶于50ml水中,加入氯化钙溶液(可称取纯碳酸钙1.50g,用稀盐酸溶解制备),在不断搅拌下逐渐加入0.4mol氢氧化钾溶液调至pH8.5。将所得沉淀过滤,用蒸馏水以倾泻法洗净之。将沉淀物放入干燥器中,干燥数天即得。

也可用4份钙黄绿素,1份酚酞络合剂,400份碘酸钾固体,研磨均匀,存于磨口瓶中,代替钙黄绿素水溶液。

②本测定法除用于干灰化制备的待测液外,也可用硫酸—高氯酸消煮法制备的待测液。但硫酸能使大量的钙以硫酸钙形式沉淀,可以利用盐效应的原理,在待测液中加入约1N的氯化钾固体,能将硫酸钙完全溶解,然后再以EDTA返滴定法测定钙镁。

③测定钙量时,用20%氢氧化钾调节pH因待测液中不能有大量钠盐,故此处不能用氢氧化钠。因为钠盐存在能使钙黄绿素及其混合指示剂终点的残余荧光增强,而钾盐则无此现象。氢氧化钾应随用随配,以免吸收二氧化碳,影响滴定终点。

随便看

 

离鸟网收录3541549条中英文词条,其功能与新华字典、现代汉语词典、牛津高阶英汉词典等各类中英文词典类似,基本涵盖了全部常用中英文字词句的读音、释义及用法,是语言学习和写作的有利工具。

 

Copyright © 2004-2024 vtrois.com All Rights Reserved
更新时间:2026/4/20 9:38:20