网站首页  词典首页


请输入您要查询的字词:

 

字词 EDTA容量法
类别 中英文字词句释义及详细解析
释义

EDTA容量法


EDTA容量法测定钙及钙镁都是在碱性条件下进行的。此时磷将与钙生成磷酸钙沉淀,轻者使EDTA滴定终点不明显,重者将使钙镁测定结果偏低。所以待测液中磷酸盐存在较多时将严重引起干扰。消除磷的干扰方法有二:一是返滴定法,即先加入过量EDTA液,使钙镁先与之螯合,而不致产生磷酸钙镁沉淀。多余的EDTA液由标准钙液回滴。便可与空白测定之差计算钙镁含量。二是沉淀分离法,即在待测液中加入过量的氯化锆氧,过滤除去磷酸锆沉淀,即可用直接滴定法测钙镁。二法比较返滴定法操作步骤简便,对高磷植物样品可获得满意结果。现将此三种方法分述如下。

1.直接滴定法

(1)适用范围:适用于茎叶等磷低钙高的样品。

(2)试剂配制

①0.01molEDTA标准溶液:3.720gEDTA二钠盐溶于无二氧化碳的水中,定容1L。用钙标准溶液标定(方法同钙的测定),贮于塑料瓶中。

②0.01mol钙标准溶液:0.5000g纯碳酸钙(110℃烘干)溶于25ml0.5N盐酸中,煮沸除尽二氧化碳,用无二氧化碳的水洗入500ml容量瓶中定容,摇匀。

③氨缓冲溶液(pHl0):33.75g氯化铵溶于约150ml水中,加入新开瓶的浓氨水285ml,用水稀释至500ml,贮于塑料瓶中,并防止吸收空气中的二氧化碳。

④K-B指示剂:先取50g无水硫酸钾,研细。再取0.5g酸性铬蓝K〔2-(2-羟基-5-磺酸钠-偶氮苯)-1,8二羟基-3.6萘二磺酸钠盐〕和1g萘酚绿B〔C30H15FeN3Na3O15S3〕将三者混合均匀,贮于棕色瓶或塑料瓶中,不用时放在干燥器中保存。

⑤1∶1三乙醇胺。

⑥4N氢氧化钠。

(3)测定步骤:吸取由湿灰化制备的待测液(见本章第二节待测液制备)10-20ml(使含钙1-5mg)二份,各置150ml三角瓶中,用浓氨水中和(可用pH试纸检查)至pH7-8。加水至约50ml。或吸取由干灰化所制备的待测液二份,各10-20ml,置150ml三角瓶中,加水稀释至约50ml。

其中一份测定钙:加入1∶1三乙醇胺2ml,摇匀,加4N氢氧化钠2ml,摇匀后放置2分钟(此时pH应>12)待氢氧化镁沉淀后,立即加入K-B指示剂0.1-0.2g,用0.01mol EDTA标准溶液滴定至溶液由紫红突变为蓝色。记录所用EDTA的毫升数V1

另一份三角瓶内容物测钙镁混合量,同样加1∶1三乙醇胺2ml,摇匀,再加氨缓冲溶液5ml,摇匀,加K-B指示剂0.1-0.2g,摇匀后用0.01m0l EDTA标准溶液滴定。溶液由紫红色突变为蓝色。记录所用EDTA的毫升数V2

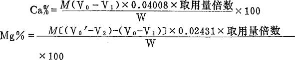
(4)结果计算

式中:M——为经钙标准液标定的EDTA标准溶液的摩尔浓度。

0.04008——钙的摩尔质量(g);

0.02431——镁的摩尔质量(g);

W——样品重(g)。

2.返滴定法

(1)适用范围:适用于高磷低钙植物样本及一般种子样品。

(2)试剂配制:同上述直接滴定法,但0.01molEDTA溶液可不必标定。

(3)测定步骤:同上述直接滴定法,但在钙及钙镁的二份测定液中,将EDTA标准液的滴定改为直接加入过量而准确的EDTA溶液10ml(使溶液呈蓝色),然后再用0.01mol钙标准液滴定过剩的EDTA,当滴定至溶液由蓝色突变为紫红色时即为终点,记录0.01mol钙标准液的用量。设其用量在钙测定液中为V1,在钙镁测定液中为V2

同时作空白测定,即取10ml空白待测液二份,一份按钙测定液的返滴定法测定,得0.01mol钙标准液的滴定值为V0,另一份按钙镁测定液的返滴定法进行,则0.01mol钙标准液用量为V0'。

(4)结果计算:

式中:M——钙标准液摩尔浓度;

V0——钙的空白测定液中钙标准液的滴定毫升数;

V1——钙测定液中钙标准液的滴定毫升数;

V0'——钙镁的空白测定液中钙标准液的滴定毫升数;

V2——钙镁测定中钙标准液的滴定毫升数。

其它符号同前。

3.沉淀分离法

(1)适用范围:适用于种子等磷高钙低的样本。

(2)试剂配制:

①0.1%溴甲酚绿。

②2%氯化锆氧:2g氯化锆氧(ZrOCl2·8H2O)溶于100ml水中。

③1∶1氨水。

(3)测定步骤:吸取50ml待测液(含钙5-25mg),放入100ml容量瓶中,加3滴0.1%溴甲酚绿和2ml2%ZrOCl2,摇匀,滴加1∶1氨水至溶液刚变蓝色(pH5.5),此时产生磷酸锆〔Zr3(PO4)4〕沉淀,用水定容,摇匀后用干滤纸过滤,吸取滤液20ml放入150ml三角瓶中,用水稀至约50ml,即可按直接滴定法测定。及进行结果计算。

随便看

 

离鸟网收录3541549条中英文词条,其功能与新华字典、现代汉语词典、牛津高阶英汉词典等各类中英文词典类似,基本涵盖了全部常用中英文字词句的读音、释义及用法,是语言学习和写作的有利工具。

 

Copyright © 2004-2024 vtrois.com All Rights Reserved
更新时间:2026/4/18 22:46:55