网站首页  词典首页


请输入您要查询的字词:

 

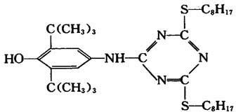
字词 6-(4-羟基-3,5-二叔丁基苯胺基)-2,4-双(辛基硫代)-1,3,5-三嗪
类别 中英文字词句释义及详细解析
释义

6-(4-羟基-3,5-二叔丁基苯胺基)-2,4-双(辛基硫代)-1,3,5-三嗪


【结构式】:

【释文】:

性质 白色或淡黄色结晶粉末。分子量524.84。熔点91~96℃。23℃时的溶解度(g/100g溶剂):甲醇1.4、丙酮20.2、苯43.4、己烷9.1、矿物油0.6、棉子油1.1,不溶于水。

用途 本品为聚烯烃用抗氧剂。耐洗性和耐气体褪色性优良,抗氧效能高,也可用于顺丁橡胶、丁苯橡胶等合成橡胶和天然橡胶。

毒性 小白鼠经口LD50>5000mg/kg体重。

国外生产厂

随便看

 

离鸟网收录3541549条中英文词条,其功能与新华字典、现代汉语词典、牛津高阶英汉词典等各类中英文词典类似,基本涵盖了全部常用中英文字词句的读音、释义及用法,是语言学习和写作的有利工具。

 

Copyright © 2004-2024 vtrois.com All Rights Reserved
更新时间:2026/4/20 22:54:23