网站首页  词典首页


请输入您要查询的字词:

 

字词 5′-鸟苷酸二钠
类别 中英文字词句释义及详细解析
释义

5′-鸟苷酸二钠


别名 鸟苷酸钠(GMP)

编码 GB 12.002;INS 627

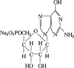
化学结构

C10H12N5Na2O8P·xH2O 相对分子质量 407.19(无水)

性状 无色至白色结晶,或白色结晶性粉末,含约7分子结晶水。味鲜,鲜味阈值为0.0125g/100mL,鲜味强度为肌苷酸钠的2.3倍。与谷氨酸钠合用有很强的协同作用。不吸湿,溶于水,水溶液稳定。在酸性溶液中,高温时易分解,可被磷酸酶分解破坏,稍溶于乙醇,几乎不溶于乙醚。

制法

(1)由酵母所得核酸分解、分离制得。

(2)由发酵法制取。

质量标准

鉴别方法 在0.01mol/L HCI溶液中,样品溶液(1+50000)的紫外吸收光谱在256±2nm处有最大吸收峰。

毒理学依据

1.LD50 大鼠口服大于10g/kg(bw)。

2.GRAS FDA 21CFR 172·530。

3.ADI 无需规定(FAO/WHO,1994)。

4.代谢 可在大鼠肠道中酶促降解成尿酸后转变成尿囊素,24h后有70%~80%在尿中排出。人在给予5′-核苷酸后引起血清和尿中尿酸水平上升,表明有部分分解,但即使每人每天摄食约15mg核苷酸,并不引起痛风。

1993年,JECFA再次对其评价时,除提出5′-鸟苷酸二钠和5′-肌苷酸二钠无致癌、致畸性,对繁殖无危害外,还认为人们从增味剂接触嘌呤(每人每天约4mg)比在膳食中摄取天然存在的核苷酸(估计每人每天可达2g)中的要低,既无需规定ADI,同时撤消以前提出添加这些物质应标明的意见。

使用 增味剂(鲜味剂)。

1.使用注意事项

(1)本品与谷氨酸钠或5′-肌苷酸二钠合用,有显着的协同作用,鲜味大增。

(2)本品可被磷酸酶分解失去呈味力,故不宜用于生鲜食品中。这可通过将食品加热到85℃左右钝化酶后使用。

2.使用范围及使用量

(1)我国《食品添加剂使用卫生标准》(GB 2760-1996)规定:可在各类食品中按生产需要适量使用。

(2)实际使用参考:

①本品通常很少单独使用,而多与谷氨酸钠(味精)等合用。混合使用时,其用量约为味精总量的1%~5%;酱油、食醋、肉、鱼制品、速溶汤粉、速煮面条及罐头食品等均可添加,其用量约为0.01~0.1g/kg。也可与赖氨酸盐酸盐等混合后,添加于蒸煮米饭、速煮面条、快餐中,用量约0.5g/kg。关于本品与谷氨酸钠等的配合使用,详见谷氨酸钠。

②本品尚可与肌苷酸钠以1∶1配合,广泛应用于各类食品。

随便看

 

离鸟网收录3541549条中英文词条,其功能与新华字典、现代汉语词典、牛津高阶英汉词典等各类中英文词典类似,基本涵盖了全部常用中英文字词句的读音、释义及用法,是语言学习和写作的有利工具。

 

Copyright © 2004-2024 vtrois.com All Rights Reserved
更新时间:2026/4/21 8:24:41