网站首页  词典首页


请输入您要查询的字词:

 

字词 5′-鸟苷酸二钠
类别 中英文字词句释义及详细解析
释义

5′-鸟苷酸二钠


化学名:5′-鸟苷酸二钠(disodium 5′-guanylate)

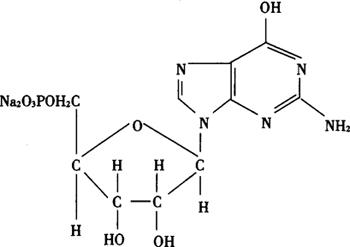
结构式:

分子式:C10H12N5Na2O8P·XH2O

相对分子质量(无水):407.19

一、5′-鸟苷酸二钠的鉴别

1.试剂和溶液

0.01mol/LHCl溶液。

2.仪器

紫外分光光度计,备有10mm石英比色皿。

3.操作步骤

称取试样0.01g(称准至0.0001g),溶于0.01mol/LHCl溶液500mL中,用紫外分光光度计,10mm比色皿,在波长220~320nm下测定其吸光度。

4.结果处理

若最大吸收值在波长(256±2)nm处为合格,否则判为不合格。

二、5′-鸟苷酸的含量测量

1.试剂和溶液

盐酸(GB622):0.01mol/LHCl溶液。

2.仪器

紫外分光光度计,备有10mm比色皿。

3.操作步骤

3.1 准确称取试样5g(称准至0.0001g),用0.01mol/LHCl溶液溶解,并稀释至1000mL,此溶液浓度为0.5mg/mL。吸取10mL上述溶液,用0.01mol/LHCl溶液稀释至250mL,此溶液即为试样溶液。

3.2 将上述试样溶液注入10mm石英比色皿,以0.01mol/LHCl溶液作空白,于紫外分光光度计于波长260nm下测定其吸光度(A)。

4.分析结果的表述

式中 w——5′-鸟苷酸二钠的质量分数,%

A——在波长260nm下测得样液的吸光度

V——测定用吸取样液的体积,mL

m——试样质量,g

289.8——5′-鸟苷酸二钠的比吸光度

5.允许差

同一样品两次测定值之差不得超过0.1%。

三、食品中的5′-鸟苷酸二钠的测定

食品中的5′-鸟苷酸二钠用高压液相色谱定量。食品中存在天然的5′-鸟苷酸,所以样品中含有此类食品原料时,测定值应为食品中天然和添加的5′-鸟苷酸总和。

分析方法:参照本章第一节的分析方法,将原文中的“5′-肌苷酸钠”改为“5′-鸟苷酸钠”,“5′-肌苷酸”改为“5′-鸟苷酸”。

试剂及注解均参照本章第一节相关内容。

随便看

 

离鸟网收录3541549条中英文词条,其功能与新华字典、现代汉语词典、牛津高阶英汉词典等各类中英文词典类似,基本涵盖了全部常用中英文字词句的读音、释义及用法,是语言学习和写作的有利工具。

 

Copyright © 2004-2024 vtrois.com All Rights Reserved
更新时间:2026/4/20 8:58:08