别名 肌苷酸钠(IMP)
编码 GB 12.003;INS 631

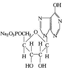
C10H11N4Na2O8P·xH2O
相对分子质量 392.17(无水)
性状 无色至白色结晶,或白色结晶性粉末,约含7.5分子结晶水,不吸湿,40℃开始失去结晶水,120℃以上成无水物。味鲜,鲜味阈值为0.025g/100mL,鲜味强度低于鸟苷酸钠,但两者合用有显着的协同作用。当两者以1∶1混合时,鲜味阈值可降至0.0063%。与0.8%谷氨酸钠合用,其鲜味阈值更进一步降至0.000031%。溶于水,水溶液稳定,呈中性。在酸性溶液中加热易分解,失去呈味力。亦可被磷酸酶分解破坏。微溶于乙醇,几乎不溶于乙醚。
制法
(1)由酵母所得核酸经分解、分离制得。
(2)由发酵法制取。
质量标准

鉴别方法 在0.01mol/L HCl溶液中,本品溶液(1+50000)的紫外吸收光谱在(250±2)nm处有最大吸收峰。吸收比A250nm/A260nm为1.55~1.65,而A280nm~A260nm为0.20~0.30。
毒理学依据
1.LD50 大鼠口服15900mg/kg(bw)。
2.GRAS FDA-21 CFR 172.535。
3.ADI 无需规定(FAO/WHO,1994)。
4.代谢 参见5′-鸟苷酸二钠。
使用 增味剂(鲜味剂)。
1.使用注意事项
(1)本品以5%~12%的含量并入谷氨酸钠混合使用,其呈味作用比单用谷氨酸钠高约8倍,有“强力味精”之称。
(2)用2.5% IMP+2.5% GMP+95% MSG(4.7~7kg),可代替45kg MSG,对产品的风味无明显影响。
(3)本品可被生鲜动、植物组织中的磷酸酶分解,失去呈味力,应经加热钝化酶后使用。近来,已发展特殊的包衣加工技术,以保护其不受鱼肉等食品中磷酸酯酶的分解并使其发挥最大的呈味力。
2.使用范围及使用量 我国《食品添加剂使用卫生标准》(GB 2760-1996)规定:可在各类食品中按生产需要适量使用。具体参见谷氨酸钠和鸟苷酸钠。