网站首页  词典首页


请输入您要查询的字词:

 

字词 4.直角棱镜的光学平行差①与角量偏差的关系
类别 中英文字词句释义及详细解析
释义

4.直角棱镜的光学平行差①与角量偏差的关系


4.1 A棱差-反射棱镜的光学平面(屋脊面除外)与其所对的棱的平行差。记为γA

4.2 Ⅰ型直角棱镜的光学平行差与角量偏差的关系

4.2.1 第一光学平行差与光轴截面内角度偏差的关系

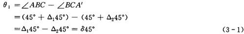
假设棱镜无A棱差。将棱镜展开成平板玻璃,则光轴截面与各棱均垂直。此时,第一光学平行差θ1表征为光轴截面内AB、CA′两直线之间的平行差,如图3-11所示。

图3-11 Ⅰ型直角棱镜第一平行差

由图3-11可得:

同理可得

式中 △145°为∠ABC相对于公称值45°的实际偏差,其值可正可负;△245°为∠BCA相对于公称值45°的实际偏差,其值可正可负;△90°为∠BAC相对于公称值90°的实际偏差,其值可正可负;δ45°为两个45°角的实际值之差。

由公式(3-1)、(3-2)、(3-3)可得:棱镜的第一光学平行差是由光轴截面内角度偏差引起的。

4.2.2 第二光学平行差与A棱差的关系

假设棱镜在光轴截面内的角度偏差为零。取棱A垂直于光轴截面,则入射面和出射面两法线均位于(或平行于)光轴截面内。同时,反射面相对于棱A的平行差γA2,亦为反射面法线相对于光轴截面的垂直偏差。如图3-12所示。

图3-12 1型直角棱镜第二平行差

光线垂直于入射面入射,经入射面折射至反射面。由于反射面法线垂直偏离光轴截面,光线经反射面反射之后,也就偏离了光轴截面。

由向量反射公式:

A′=A-2(A·N)N (3-4)

式中 A为入射光线向量,单位向量;A′为反射光线向量,单位向量;N为反射面法线向量,单位向量。

对公式(3-4)微分,得

dA′=-2(A·N)dN-2(A·dN)N (3-5)

由于反射面法线垂直偏离光轴截面,所以dN垂直于光轴截面。

图3-13中用 ⊙表示垂直向上。

图3-13 光线的向量表示

又因为A位于光轴截面内,所以

将上式代入公式(3-5),得

式中 α0为入射角。

由公式(3-6)可以得到

dA′的大小:|dA′|=2cosa0|dN| (3-7)

dA′的方向:与dN相同,即也垂直于光轴截面,在图3-13中用⊙表示。

在微小角量时,有 |dN|=γA2

又因为光线经反射面反射之后,至出射前与出射面法线在垂直于光轴截面方向的偏差——第二光学平行差,在微小角量时,亦为反射光线相对于光轴截面的垂直偏差|dA|。即

将上述两式代入公式(3-7)得

θ=2γACosα0

在Ⅰ型直角棱镜中,入射角α0=45°,代入上式,得

同理可证

式中 γA1为入射面相对于棱C的平行差;γA2为反射面相对于棱A的平行差;yA3为出射面相对于棱B的平行差。

由公式(3-8)、(3-9)、(3-10)可得:棱镜的第二光学平行差是由A棱差引起的。

4.3 Ⅱ型直角棱镜的光学平行差与角量偏差的关系

其关系式的求解方法与Ⅰ型直角棱镜相同。

4.3.1 第一光学平行差与光轴截面内角度偏差的关系参见图3-14

图3-14 Ⅱ型直角棱镜的第一平行差

4.3.2 第二光学平行差与A棱差的关系参见图3-15

图3-15 Ⅱ型直角棱镜的第二平行差

1-入射面、出射面;2-第一次反射面;3-第二次反射面

式中 γA1为入射面(出射面)相对于棱C的平行差;γA2为第一次反射面相对于棱A的平行差,γA3为第二次反射面相对于棱B平行差。

随便看

 

离鸟网收录3541549条中英文词条,其功能与新华字典、现代汉语词典、牛津高阶英汉词典等各类中英文词典类似,基本涵盖了全部常用中英文字词句的读音、释义及用法,是语言学习和写作的有利工具。

 

Copyright © 2004-2024 vtrois.com All Rights Reserved
更新时间:2026/4/21 16:38:27