网站首页  词典首页


请输入您要查询的字词:

 

字词 424失水苹果酸树脂
类别 中英文字词句释义及详细解析
释义

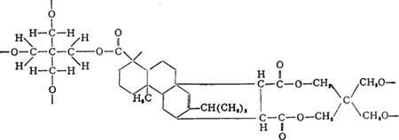
424失水苹果酸树脂


别名 顺丁烯二酸酐树脂、失酐树脂

结构式

性能 抗水性好,硬度、光泽好。

质量规格(参考)

用途 用于油漆、油墨的制造中。油墨工业主要用来制造水性墨。

包装贮运 50kg木箱或乳胶袋包装。贮运中要注意通风、阴凉、避高热、隔绝火源并防雨水侵蚀。

国内生产厂 上海新华树脂厂、各大油墨厂。

随便看

 

离鸟网收录3541549条中英文词条,其功能与新华字典、现代汉语词典、牛津高阶英汉词典等各类中英文词典类似,基本涵盖了全部常用中英文字词句的读音、释义及用法,是语言学习和写作的有利工具。

 

Copyright © 2004-2024 vtrois.com All Rights Reserved
更新时间:2026/4/21 15:49:13