网站首页  词典首页


请输入您要查询的字词:

 

字词 422失水苹果酸树脂
类别 中英文字词句释义及详细解析
释义

422失水苹果酸树脂


别名 顺丁烯二酸酐树脂、失酐树脂

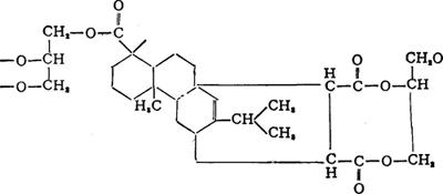
结构式

性能 与硝化棉混溶性好,漆膜不易泛黄。

质量规格(参考)

用途 制造清漆、浅色烘漆和喷漆以及用于油墨、纸品上光等。油墨中主要用于凹版墨中。

包装贮运 50kg木箱或乳胶袋装。宜存放于阴凉处。贮运中要注意避高热,隔绝火源,防雨淋。

国内生产厂 上海新华树脂厂、各大油墨厂。

随便看

 

离鸟网收录3541549条中英文词条,其功能与新华字典、现代汉语词典、牛津高阶英汉词典等各类中英文词典类似,基本涵盖了全部常用中英文字词句的读音、释义及用法,是语言学习和写作的有利工具。

 

Copyright © 2004-2024 vtrois.com All Rights Reserved
更新时间:2026/4/21 2:56:22