网站首页  词典首页


请输入您要查询的字词:

 

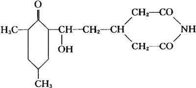
字词 3-[2-(3,5-二甲基-2-氧代环己基)-2-羟基乙基]戊二酰亚胺
类别 中英文字词句释义及详细解析
释义

3-[2-(3,5-二甲基-2-氧代环己基)-2-羟基乙基]戊二酰亚胺


【结构式】:

【释文】:

性质 白色结晶。分子量281.4。熔点119.5~121℃。

用途 本品有良好的避鼠效果,可作为橡胶和塑料的防鼠剂,主要是制成涂料涂于电线电缆或制品表面。

随便看

 

离鸟网收录3541549条中英文词条,其功能与新华字典、现代汉语词典、牛津高阶英汉词典等各类中英文词典类似,基本涵盖了全部常用中英文字词句的读音、释义及用法,是语言学习和写作的有利工具。

 

Copyright © 2004-2024 vtrois.com All Rights Reserved
更新时间:2026/4/20 3:29:29