网站首页  词典首页


请输入您要查询的字词:

 

字词 310松香酯
类别 中英文字词句释义及详细解析
释义

310松香酯


别名 季戊四醇松香酯

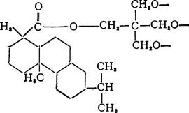
结构式

性能 浅黄色透明固体。溶解性好,使用于油墨中较石灰松香好,其软化点高,干燥快。

质量规格(参考)

用途 主要用来制造↑#6印刷调墨油。

包装贮运 50kg麻袋、编织带包装。贮运中要注意通风、干燥,忌曝晒,防雨淋,远离热源,隔绝火源。

国内生产厂 各大油墨厂。

随便看

 

离鸟网收录3541549条中英文词条,其功能与新华字典、现代汉语词典、牛津高阶英汉词典等各类中英文词典类似,基本涵盖了全部常用中英文字词句的读音、释义及用法,是语言学习和写作的有利工具。

 

Copyright © 2004-2024 vtrois.com All Rights Reserved
更新时间:2026/4/20 15:34:57