网站首页  词典首页


请输入您要查询的字词:

 

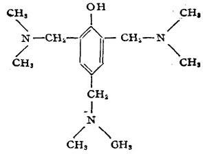
字词 2,4,6-三(二甲胺基甲基)苯酚
类别 中英文字词句释义及详细解析
释义

2,4,6-三(二甲胺基甲基)苯酚


【结构式】:

【释文】:

性质 琥珀色或褐色液体。活泼氢当量265。相对密度0.97~0.99。粘度约2泊(25℃)。

用途 本品可作为环氧树脂的固化剂和促进剂。其分子结构中含有酚型羟基,因而活性增加,可用于快速固化,但使用寿命短,主要用于粘合剂,本品可作为酸酐固化剂和酰胺固化剂的促进剂用于浇铸和层压制品。本品作为固化剂的用量一般为10份,作为促进剂的用量一般为0.1~3份。

毒性 本品毒性较低。美国食品和药物管理局许可本品用于接触食品的环氧树脂涂料。

国内生产厂 江苏常州向阳化工厂

国外商品名

随便看

 

离鸟网收录3541549条中英文词条,其功能与新华字典、现代汉语词典、牛津高阶英汉词典等各类中英文词典类似,基本涵盖了全部常用中英文字词句的读音、释义及用法,是语言学习和写作的有利工具。

 

Copyright © 2004-2024 vtrois.com All Rights Reserved
更新时间:2026/4/19 16:17:39