网站首页  词典首页


请输入您要查询的字词:

 

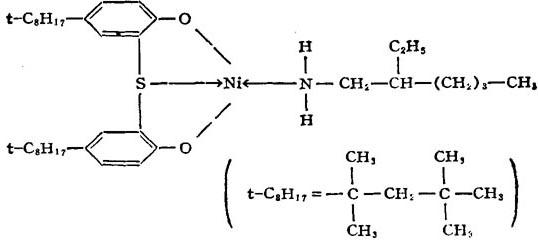
字词 2,2-硫代双(4-叔辛基酚氧基)镍-2-乙基己胺络合物
类别 中英文字词句释义及详细解析
释义

2,2-硫代双(4-叔辛基酚氧基)镍-2-乙基己胺络合物


【结构式】:

【释文】:

性质 淡绿色粉末。分子量626.64。熔点256~259℃。溶于氯仿、苯、溶剂汽油,不溶于丙酮和甲醇。

用途 本品为镍螯合型光稳定剂,适用于多种塑料,特别是聚丙烯、聚乙烯等聚烯烃塑料。与树脂的相容性好,光稳定效能高。此外,本品还兼有热氧稳定作用,加工适应温度范围宽。

国外商品名

随便看

 

离鸟网收录3541549条中英文词条,其功能与新华字典、现代汉语词典、牛津高阶英汉词典等各类中英文词典类似,基本涵盖了全部常用中英文字词句的读音、释义及用法,是语言学习和写作的有利工具。

 

Copyright © 2004-2024 vtrois.com All Rights Reserved
更新时间:2026/4/19 23:36:35