网站首页  词典首页


请输入您要查询的字词:

 

字词 2,2′-硫代双(4-叔辛基酚氧基)镍-正丁胺络合物,光稳定剂1084
类别 中英文字词句释义及详细解析
释义

2,2′-硫代双(4-叔辛基酚氧基)镍-正丁胺络合物,光稳定剂1084


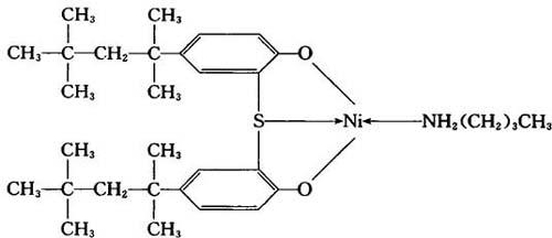
【结构式】:

【释文】:

制法 由4-叔辛基苯酚和二氯化硫反应生成硫代双(4-叔辛基苯酚),其再与正丁胺和醋酸镍反应而得。

性质 淡绿色粉末或片状物。分子量571。相对密度11.307(25℃)。熔点258~261℃。溶于正庚烷、四氢呋喃、甲苯,微溶于乙醇和甲乙酮等,表3-23为本品在部分溶剂中的溶解度。

表3-23 2,2′-硫代双(4-叔辛基酚氧基)镍-正丁胺络合物的的溶解度(g/100g溶剂,25℃)

用途 本品为高效光稳定剂,能吸收波长为270~330nm紫外线,不仅具有光稳定作用,而且还有抗氧剂功能。适用于聚丙烯、聚乙烯、乙烯-醋酸乙烯共聚物等塑料,对高温下使用或长期经受日晒的制品尤为适宜。一般用量0.25~0.5%。本品的着色性小,对聚烯烃的染料有螯合作用,可改善其染色性。

毒性 本品的毒性低,对大白鼠的经口LD50>10g/kg体重,对皮肤的刺激性极小。

国外生产厂

随便看

 

离鸟网收录3541549条中英文词条,其功能与新华字典、现代汉语词典、牛津高阶英汉词典等各类中英文词典类似,基本涵盖了全部常用中英文字词句的读音、释义及用法,是语言学习和写作的有利工具。

 

Copyright © 2004-2024 vtrois.com All Rights Reserved
更新时间:2026/4/21 16:52:51