网站首页  词典首页


请输入您要查询的字词:

 

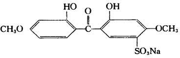
字词 2,2′-二羟基-4,4′-二甲氧基-5-磺基二苯甲酮的钠盐
类别 中英文字词句释义及详细解析
释义

2,2′-二羟基-4,4′-二甲氧基-5-磺基二苯甲酮的钠盐


【结构式】:

【释文】:

性质 粉状物。分子量376。分解温度>350℃。溶于水、甲醇、乙醇和N-甲基吡咯烷酮,不溶于醋酸乙酯和甲乙酮。

用途 本品可作为硝酸纤维素、水性涂料和橡胶用紫外线吸收剂。

国外生产厂

随便看

 

离鸟网收录3541549条中英文词条,其功能与新华字典、现代汉语词典、牛津高阶英汉词典等各类中英文词典类似,基本涵盖了全部常用中英文字词句的读音、释义及用法,是语言学习和写作的有利工具。

 

Copyright © 2004-2024 vtrois.com All Rights Reserved
更新时间:2026/4/18 23:25:08