网站首页  词典首页


请输入您要查询的字词:

 

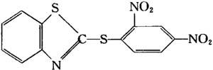
字词 2-(2,4-二硝基苯硫代)苯并噻唑
类别 中英文字词句释义及详细解析
释义

2-(2,4-二硝基苯硫代)苯并噻唑


【结构式】:

【释文】:

性质 黄色粉末。味苦。相对密度1.61。熔点155℃。灰分<0.4%。加热减量<0.5%。溶于苯和氯仿,微溶于乙醇,不溶于水。无吸湿性。

用途 本品为迟效性硫化促进剂,适用于天然橡胶、异戊橡胶、丁苯橡胶、顺丁橡胶、三元乙丙橡胶和丁腈橡胶。硫化起步较缓慢。在大量配合炉法炭黑时,焦烧安全性提高。本品与噻唑类、胍类等硫化促进剂并用,可加快硫化速度;主要用于大型厚壁制品,操作安全,硫化均匀,硫化胶的耐老化性好。本品有污染性,不适合于白色或浅色橡胶制品。

毒性 大白鼠经口LD50为7130mg/kg体重。兔经皮LD50>7940mg/kg体重。对皮肤和眼睛均无刺激。

国内生产厂 浙江省黄岩市化工厂

国外生产厂

随便看

 

离鸟网收录3541549条中英文词条,其功能与新华字典、现代汉语词典、牛津高阶英汉词典等各类中英文词典类似,基本涵盖了全部常用中英文字词句的读音、释义及用法,是语言学习和写作的有利工具。

 

Copyright © 2004-2024 vtrois.com All Rights Reserved
更新时间:2026/4/18 21:40:31