网站首页  词典首页


请输入您要查询的字词:

 

字词 2-(2′-羟基-5′-甲基苯基)苯并三唑
类别 中英文字词句释义及详细解析
释义

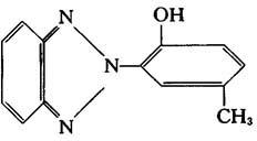
2-(2′-羟基-5′-甲基苯基)苯并三唑


【结构式】:

【释文】:

制法 由邻硝基苯胺的重氮化产物与对甲酚化合,再经还原而得。

性质 浅黄色或白色结晶粉末。分子量225。相对密度1.51。熔点128~132℃。沸点约225℃(1333Pa)。溶于丙酮、苯、甲苯等有机溶剂,不溶于水。表3-16为本品的溶解度。

表3-16 2-(2′-羟基-5′-甲基苯基)苯并三唑的溶解度(g/100mL溶剂,20℃)

用途 本品为紫外线吸收剂,可有效地吸收波长为270~340nm的紫外线,主要用于聚氯乙烯、聚苯乙烯、不饱和聚酯、聚碳酸酯、聚甲基丙烯酸甲酯、聚乙烯、ABS树脂、环氧树脂和纤维素树脂等。本品几乎不吸收可见光,初期着色性小,特别适用于无色透明和浅色制品,在薄制品中的一般用量为0.1~0.5份,厚制品中为0.05~0.2份。本品与聚烯烃的相容性较差,可与重金属离子形成带色络合物,高温挥发损失也较大。本品还可用于涂料、橡胶和合成纤维,但在合成纤维中不耐皂洗,易溶于碱性皂液中。

毒性 本品对小白鼠的经口LD50>5000mg/kg体重。以5mg/kg体重/日的剂量对大白鼠进行2年的慢性毒性实验,未见任何毒害作用,亦无致癌性。

许多国家允许本品用于接触食品的塑料制品,例如美国(用于聚氯乙烯、聚苯乙烯、丙烯酸树脂,参见FDA121.2566和121、2591)、德国(最高用量0.3%)、法国和英国(最高用量0.5%)、荷兰(最高用量0.1%)、意大利(最高用量0.2%)及日本等。日本的用量限制是:聚乙烯0.2%,聚丙烯0.2%,聚苯乙烯0.3%,AS树脂0.5%(熔点达126~132℃),ABS树脂0.5%(紫外线吸收剂总量,纯度达99.5%以上),聚氯乙烯0.25%(熔点126~132℃,限于硬质品)。

国内生产厂 浙江椒江市化工二厂

国外生产厂

随便看

 

离鸟网收录3541549条中英文词条,其功能与新华字典、现代汉语词典、牛津高阶英汉词典等各类中英文词典类似,基本涵盖了全部常用中英文字词句的读音、释义及用法,是语言学习和写作的有利工具。

 

Copyright © 2004-2024 vtrois.com All Rights Reserved
更新时间:2026/4/18 11:44:56