网站首页  词典首页


请输入您要查询的字词:

 

字词 2-(2′-羟基-3′,5′-二羟叔丁基苯基)苯并三唑
类别 中英文字词句释义及详细解析
释义

2-(2′-羟基-3′,5′-二羟叔丁基苯基)苯并三唑


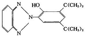
【结构式】:

【释文】:

制法 由邻硝基苯胺的重氮化产物与2,4-二叔丁基苯酚化合后,再经还原而得。

性质 淡黄色结晶粉末。分子量323.44。熔点152~156℃。溶于苯、环己烷、苯乙烯、甲苯等溶剂,不溶于水。表3-15为本品的溶解度。

表3-15 2-(2′-羟基-3′,5′-二叔丁基苯基)苯并三唑的溶解度(g/100mL溶剂,20℃)

用途 本品为紫外线吸收剂,对波长为270~380nm的紫外光有强烈的吸收作用,本身的耐热和耐光性优良,耐碱性好,对重金属呈惰性,适用于聚氯乙烯、聚酯、聚碳酸酯、ABS树脂、环氧树脂、聚酰胺和纤维素树脂等。特别是在含有锡类和铅类热稳定剂的硬质聚氯乙烯树脂中,以及低温固化聚酯中光稳定效果尤为显着。一般用量为0.1~3%。

毒性 本品对大白鼠的经口LD50>5000mg/kg体重。

国外生产厂

随便看

 

离鸟网收录3541549条中英文词条,其功能与新华字典、现代汉语词典、牛津高阶英汉词典等各类中英文词典类似,基本涵盖了全部常用中英文字词句的读音、释义及用法,是语言学习和写作的有利工具。

 

Copyright © 2004-2024 vtrois.com All Rights Reserved
更新时间:2026/4/18 5:17:12