网站首页  词典首页


请输入您要查询的字词:

 

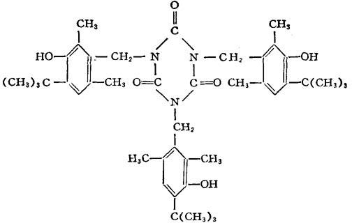
字词 1,3,5-三(4-叔丁基-3-羟基-2,6-二甲基苄基)1,3,5-三嗪-2,4,6-(1H,3H,5H)-三酮,抗氧剂1790
类别 中英文字词句释义及详细解析
释义

1,3,5-三(4-叔丁基-3-羟基-2,6-二甲基苄基)1,3,5-三嗪-2,4,6-(1H,3H,5H)-三酮,抗氧剂1790


【结构式】:

【释文】:

性质 灰白色粉末。熔点145~155℃。空气中热失重达5%的温度为335℃(每分钟升温10℃)。溶解度见表4-15。

表4-15 抗氧剂1790的溶解度(克/100毫升溶剂,25℃)

用途 本品为受阻酚类主抗氧剂,不污染,不着色,适用于聚丙烯、聚乙烯、聚苯乙烯、ABS树脂、聚酯、纤维素树脂等,对聚丙烯的防护效果尤佳,仅使用0.02~0.1%的量即可有效地抑制其在高温加工及使用过程中的热氧降解,与硫代二丙酸酯类抗氧剂并用有协同效应,可进一步提高长期耐热老化性。本品耐沸水性好,耐洗涤液抽出性高,可用于洗衣机、纤维等制品中。

毒性 本品毒性低,对幼年雄性大白鼠的经口LD50>10克/公斤体重,家免经皮LD50>5克/公斤体重(接触皮肤24小时)。

美国和联邦德国许可本品用于聚乙烯和聚丙烯食品包装材料。

国外商品名

随便看

 

离鸟网收录3541549条中英文词条,其功能与新华字典、现代汉语词典、牛津高阶英汉词典等各类中英文词典类似,基本涵盖了全部常用中英文字词句的读音、释义及用法,是语言学习和写作的有利工具。

 

Copyright © 2004-2024 vtrois.com All Rights Reserved
更新时间:2026/4/19 0:31:58