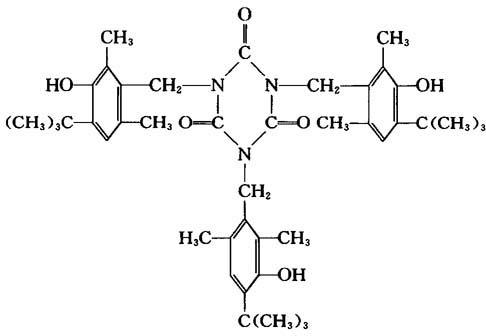
【结构式】:

【释文】:
性质 灰白色粉末。熔点145~155℃。空气中热失重达5%的温度为335℃(每分钟升温10℃)。溶解度见表4-15。
表4-15 抗氧剂1790的溶解度(g/100mL溶剂,25℃)

用途 本品为受阻酚类主抗氧剂,不污染,不着色,适用于聚丙烯、聚乙烯、聚苯乙烯、ABS树脂、聚酯、纤维素树脂等,对聚丙烯的防护效果尤佳,仅使用0.02~0.1%的量即可有效地抑制其在高温加工及使用过程中的热氧降解,与硫代二丙酸酯类抗氧剂并用有协同效应,可进一步提高长期耐热老化性。本品耐沸水性好,耐洗涤液抽出性高,可用于洗衣机配件、纤维等制品中。
毒性 本品毒性低,对幼年雄性大白鼠的经口LD50>10g/kg体重,家兔经皮LD50>5g/kg体重(接触皮肤24h)。
美国和德国许可本品用于聚乙烯和聚丙烯食品包装材料。
国外生产厂
