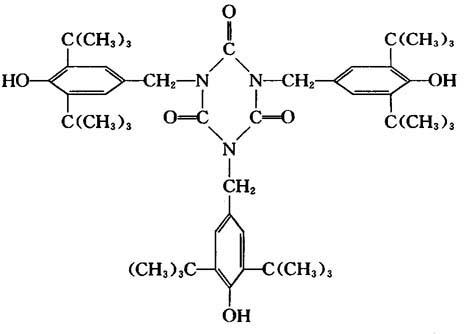
【结构式】:

【释文】:
制法 由异氰脲酸,2,6-二叔丁基苯酚,甲醛反应而得。
性质 白色结晶粉末。分子量784。灰分0.006%。相对密度(25℃)1.03。熔点221℃。闪点(开杯法)289.4℃。着火点302℃。溶解度见表4-16。
表4-16 抗氧剂3114的溶解度

用途 本品为具有三官能团的受阻酚型抗氧剂,不污染,不着色。由于分子量和熔点高,故挥发性极小,迁移性小,耐水抽出性好,可赋予塑料优良的耐热氧化性和耐光氧化性。适用于聚乙烯、聚丙烯、聚苯乙烯、ABS树脂、聚酯、尼龙、聚氯乙烯、聚氨酯、纤维素塑料和合成橡胶,在聚烯烃中效果尤为显着。一般用量为0.1~0.25%,与紫外线吸收剂或亚磷酸酯类并用有协同效应,可进一步提高光热稳定性。
毒性 本品毒性低,大白鼠经口LD50>6800mg/kg体重,家兔经口LD50>10000mg/kg体重。
本品可用于接触食品的聚烯烃制品(可接触脂肪性和非脂肪性食品)。
国内生产厂 江苏省镇江市化工研究所试验工厂
国外生产厂
