网站首页  词典首页


请输入您要查询的字词:

 

字词 龙贝格求积法
类别 中英文字词句释义及详细解析
释义 龙贝格求积法

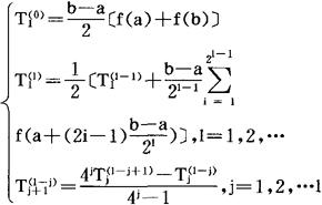
一种加速收敛的数值求积方法。按下列公式进行递推:

其计算流程表为:

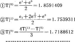
对于积分,首先计算出,然后按递推公式逐行进行计算,直止为止,其中ε为指定的允许误差,则,例,求积分

计算结果如下:

最后得

事实上,精确值为值

随便看

 

离鸟网收录3541549条中英文词条,其功能与新华字典、现代汉语词典、牛津高阶英汉词典等各类中英文词典类似,基本涵盖了全部常用中英文字词句的读音、释义及用法,是语言学习和写作的有利工具。

 

Copyright © 2004-2024 vtrois.com All Rights Reserved
更新时间:2026/4/19 6:51:05