龙格—库塔方法
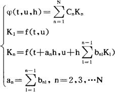
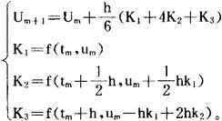
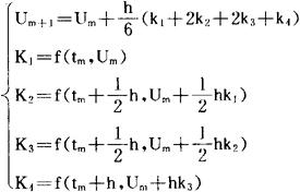
解微分方程  的数值解是寻求未知函数u(t)在tm=t0+mh(m=1,2…)处的近似解Um 龙格-库塔方法是具有下述形式的一类算法: Um+1=Um+hφ(tm,um,h),m=0,1,… (2) 其中  公式中的系数是这样确定的:设u(t)是微分方程(1)的解,将等式u(t+h)-u(t)=hφ(t,u,h)两边在t点展成h的Taylor级数,使左右两端不超过h的q次幂的相应系数相等,就得到了确定系数an,bn1,Cn的方程组。求出它的解,就得到了称为q阶的龙格-库塔方法,它的局部截断误差为0(hq+1)。 常用的三阶龙格-库塔方法是:  常用的四阶龙格-库塔方法是: 
|