9.显微镜光学显微术通用浸油
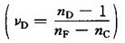
根据国家专业标准(ZBY326-85),其中有关条款如下。本标准适用于可见光谱区域工作的显微镜用浸油(不包括荧光显微镜用浸油)。 9.1 技术要求 9.1.1 外观与气味 浸油应为无气泡、无夹杂物的淡黄色透明液体,允许有轻微的不带刺激性的气味。 9.1.2 光学性质 9.1.2.1 显微镜用浸油要具有以下的光学性质(23±0.1℃): 折射率 ne=1.5180±0.0005 (nD=1.515±0.0005) 色散系数  式中 ne为汞绿线e光的折射率(λe=546.07mm);nF′为镉蓝线F′光的折射率(λF′=479.99mm);nC′为镉红线C′光的折射率(λC′=643.85nm)。 9.1.2.2 浸油的最小透过率应符合表5-16的规定。 表5-16 浸油的最小透过率 
|