网站首页  词典首页


请输入您要查询的字词:

 

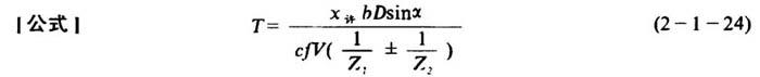
字词 齿轮的使用寿命计算
类别 中英文字词句释义及详细解析
释义 齿轮的使用寿命计算

式中 T——使用寿命(h)

b——齿宽(mm)

D——节圆直径(mm)

x——压力角(度)

c——磨损系数,热处理过的铬镍铜c=10;热处理过的碳素钢c=18;未经热处理的碳素钢c=27;铸钢件和青铜铸件c=40~50;铸铁件c=80

f——摩擦系数,有良好的润滑时f=0.05~0.1;无润滑时f=0.15~0.2

Zt、Z2——齿轮组的齿数

V——磨损速度(mm/h)

随便看

 

离鸟网收录3541549条中英文词条,其功能与新华字典、现代汉语词典、牛津高阶英汉词典等各类中英文词典类似,基本涵盖了全部常用中英文字词句的读音、释义及用法,是语言学习和写作的有利工具。

 

Copyright © 2004-2024 vtrois.com All Rights Reserved
更新时间:2026/4/21 10:49:53