齿轮泵参数选择
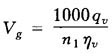
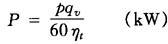
额定压力 齿轮泵的额定压力应为液压系统安全阀开启压力的1.1~1.5倍。 公称流量 选用齿轮泵公称排量前,先根据系统所需流量qv和初选的齿轮泵转速n1计算参考值,即  式中 qv单位是L/min,n1单位是r/min,ηv为齿轮泵的容积效率,可根据产品样本选取或取为0.9。 转速 根据选定的齿轮泵公称排量Vg和系统所需流量qv,计算出齿轮泵的实际转速,在选用时尽可能接近产品的额定转速。 驱动功率 在齿轮泵公称排量、转速(在一定范围内变化的可取其最大工作压力时的工作转速)和工作压力确定以后,可以根据下式计算所需输入功率  式中 p——工作压力(MPa); qv——(L/min); ηt——总效率,可在0.85左右选取。 |