网站首页  词典首页


请输入您要查询的字词:

 

字词 齐帕特罗
类别 中英文字词句释义及详细解析
释义 齐帕特罗

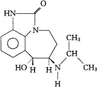
C14H19N3O2=261.32

(CAS-117827-79-9)

(±)-反式-4,5,6,7-四氢-7-羟-6-(异丙氨基)咪唑并[4,5,1-jk][1]苯并氮杂-2(1H)-酮。

(±)-trans-4,5,6,7-Tetrahydro-7-hydroxy-6-(isopropylamino)imidazo[4,5,1-jk][1]benzazepin-2(1H)-one.

支气管扩张药。

Zipaterol.

INN,USAN.

随便看

 

离鸟网收录3541549条中英文词条,其功能与新华字典、现代汉语词典、牛津高阶英汉词典等各类中英文词典类似,基本涵盖了全部常用中英文字词句的读音、释义及用法,是语言学习和写作的有利工具。

 

Copyright © 2004-2024 vtrois.com All Rights Reserved
更新时间:2026/4/21 7:44:49