网站首页  词典首页


请输入您要查询的字词:

 

字词 齐夫定律
类别 中英文字词句释义及详细解析
释义 齐夫定律

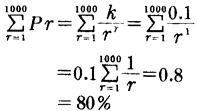
在按频率递减顺序排列的频率词典中,词的序号和词的频率之间存在著一定的数量关系。可以公式化为:。其中r为词的序号;k和γ都是常数;Pr则是序号为r的词的频率。美国语文学家齐夫(G.K.Zipf)通过实验测出γ=1,K=0.1。例如,如果词的序号为50,那么,根据公式得出:0.002。该公式称为齐夫定律。由齐夫定律可知,如果频率词典包含数十万个词,那么,其中头一千个最常用的词占该语言各种文章中全部出现的词百分之八十,因为

随便看

 

离鸟网收录3541549条中英文词条,其功能与新华字典、现代汉语词典、牛津高阶英汉词典等各类中英文词典类似,基本涵盖了全部常用中英文字词句的读音、释义及用法,是语言学习和写作的有利工具。

 

Copyright © 2004-2024 vtrois.com All Rights Reserved
更新时间:2026/4/21 5:56:24