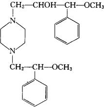
齐培丙醇
C23H32N2O3=384.52 CAS-34758-83-3 α-(α-甲氧苄基)-4-(β-甲氧苯乙基)-1-哌嗪乙醇。 α-(α-Methoxybenzyl)-4-(β-methoxyphenethyl)-1-piperazineethanol. 4-(2-甲氧-2-苯乙基)-α-(甲氧苯甲基)-1-哌嗪乙醇。 4-(2-Methoxy-2-phenylethyl)-α-(methoxyphenylmethyl)-1-piperazineethanol. 镇咳药。 Zipeprol,CERM 3024. INN,DCF,USAN,MI. 
|