网站首页  词典首页


请输入您要查询的字词:

 

字词 7.透镜中心误差(GB 7242-87)
类别 中英文字词句释义及详细解析
释义 7.透镜中心误差(GB 7242-87)

透镜中心误差按GB7242-87标准规定,该标准适用于由球面与球面或球面与平面组成的且具有旋转对称边缘面的单透镜和胶合透镜。对于具有其他边缘形状的透镜(例如:矩形透镜)也基本适用。

7.1 术语及定义

7.1.1 中心误差:光学表面定心顶点处的法线对基准轴的偏离量

中心误差是用光学表面定心顶点处的法线与基准轴的夹角来度量,此夹角称为面倾角,用希腊字母χ表示(见图2-9)

7.1.1.1 定心顶点:光学表面与基准轴的交点。

7.1.1.2 基准轴:用来标注、检验和校正中心误差的一条确定的直线,该直线应体现系统的光轴。

7.1.2 光轴:单透镜两光学表面球心的连线;胶合透镜在理想情况下诸光学表面球心的连线。

7.1.3 定心:校正中心误差的过程

7.1.3.1 若被定心的光学表面定心顶点处的法线与所选定的基准轴重合,则该光学表面已定好中心。

7.1.3.2 若透镜诸光学表面定好中心,透镜的光轴即与基准轴重合,则该透镜已定好中心。

7.2 基准轴的选定及其标注示例

7.2.1 对单透镜可根据透镜安装表面的形状和装夹条件来选定基准轴

见表2-28中例1~4,对胶合透镜可根据中心误差要求,来选定表中例2~4的基准轴,或选定定心仪的旋转轴为胶合透镜的基准轴(见表2-28中例5)。

表2-28 基准轴

注:
❶ 说明图中C1、C2等表示自左向右光学表面的球心。

❷ 同例6、例7一样,例3和例4的基准轴均可作为胶合透镜的基准轴。

7.2.2 对三片以上的胶合透镜

各次定胶合心操作应遵守基准轴不变的原则,当工艺需要改变基准轴时,必须保证已胶合部分的各光学表面的中心误差均符合要求。

7.3 中心误差的标注

7.3.1 中心误差的标注

包括基准轴的标注(或标注确定基准轴的主要表面,此主要表面是基准面)和中心误差允许值的标注两部分。

7.3.1.1 基准轴用GB1182-80《形状和位置公差代号及其注法》的基准代号,在零件图样和有关工艺图样上,标注确定基准轴的主要表面或直接标注基准轴〔见表基准轴(面)的标注〕。

7.3.1.2 各光学表面中心误差的允许值用χ1、χ2、χ3……标注在技术要求栏内,单位优先用分(′)。若图样中出现两个以上基准代号时,则在χ值后注明,例如χ=1′A。χ的脚号1、2、3……表示自左向右光学表面的序号。

当某一光学表面选作基准面时,其χ值为零,不必注出。

7.3.1.3 按表中例5标注基准轴时,各光学表面的中心误差,都必须注出。

7.3.2 若对胶层楔形有要求时,用文字说明

7.4 透镜中心误差允许值的给定

7.4.1 透镜中心误差

也可采用透射式定心仪检验其偏心差c(见GB1224-76几何光学名词术语),在数值上用焦点像跳动圆半径来度量。用透射式定心仪检验出的偏心差c,要保证图纸上规定的面倾角χ的要求。

7.4.2 偏心差c和面倾角χ之间的关系

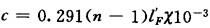
(a)单透镜两光学表面中有一个选作基准面时,则偏心差c与另一光学表面面倾角χ的关系为

式中 c为偏心差(mm);χ为面倾角(′);n为透镜材料的折射率:l′F为透镜的像方顶焦点(mm)。

(b)双胶合透镜三个光学表面中有一个选作基准面时,则偏心差c与另两个光学表面面倾角χ2、χ3的关系为:

式中 c为偏心差(mm);χ2、χ3分别为光学表面2,3的面倾角(′);n1、n2分别为第一透镜(其中一个面是基准面)、第二透镜材料的折射率;l′F为双胶合透镜组的像方顶焦点(mm)。其中|(n2-n12|不得大于(n3-1)|χ3|。

7.4.3 透镜中心误差允许值的给定

光学表面面倾角χ的允许值可根据像差计算结果给定,也可参考表2-29给出的偏心差c允许值,然后根据上述c和χ关系式给定χ的允许值

表2-29 偏心差允许值

随便看

 

离鸟网收录3541549条中英文词条,其功能与新华字典、现代汉语词典、牛津高阶英汉词典等各类中英文词典类似,基本涵盖了全部常用中英文字词句的读音、释义及用法,是语言学习和写作的有利工具。

 

Copyright © 2004-2024 vtrois.com All Rights Reserved
更新时间:2026/4/19 5:56:04