7.烯酰吗啉
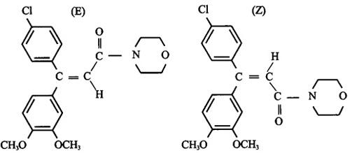
中文通用名称:烯酰吗啉,英文通用名称dimethomorph,其他名称:安克、达灭芬,化学名称:4-[3-(4-氯苯基)-3-(3,4-二甲氧基苯基)丙烯酰]吗啉(Z与E异构体比例4∶1),化学分子式:C21H22ClNO4,相对分子量:387.9。 化学结构式:  理化性质:纯品为白色结晶体,熔点为127~148℃,(Z)-异构体169.2~170.2℃,(E)-异构体135.7~137.5℃,蒸汽压24mPa(20℃)。常温下溶解度:水<50mg/L,二氯甲烷315g(Z)/L,二甲基甲酰胺40g(Z)/L、272g(E)/L,环己酮27g(Z)/L,丙酮15g(Z)/L、88g(E)/L,甲醇7g(Z)/L,甲苯7g(Z)/L。稳定性:在暗处稳定5天以上,在日光下(Z)-异构体(有杀菌力)和(E)-异构体互变;水解缓慢。 毒性:大鼠急性经口LD50为3.9g/kg,小鼠急性经口LD50>5g/kg,大鼠急性经皮LD50>2g/kg;大鼠急性吸入LC504.2mg/L空气。野鸭急性经口LD50>2g/kg,鱼毒LC50(96h)14mg/L。 农药类别:低毒杂环类杀菌剂。 |