网站首页  词典首页


请输入您要查询的字词:

 

字词 鼓风机与引风机的选择计算
类别 中英文字词句释义及详细解析
释义 鼓风机与引风机的选择计算

1、鼓风机的计算

❶ 鼓风机的风量计算

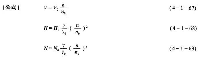
4.风机性能与转数的关系

[说明]在保证风机效率不变的条件下,离心风机的性能与转数有如下关系。

式中 V、H、N、γ——分别为当转数为n时,风机的风量(m3/h)、风压(Pa)、功率(kW)和介质的重度(N/m3)

V0、HB、N0、γ0——分别为当转数为n0时,风机的风量、风压、功率和介质的重度,单位同上

随便看

 

离鸟网收录3541549条中英文词条,其功能与新华字典、现代汉语词典、牛津高阶英汉词典等各类中英文词典类似,基本涵盖了全部常用中英文字词句的读音、释义及用法,是语言学习和写作的有利工具。

 

Copyright © 2004-2024 vtrois.com All Rights Reserved
更新时间:2026/4/20 13:01:43