网站首页  词典首页


请输入您要查询的字词:

 

字词 鼓风机与引风机
类别 中英文字词句释义及详细解析
释义 鼓风机与引风机

1.鼓风机的计算

(1)鼓风机的风量按下式计算:

式中:Vy——鼓风机的风量,m3/h;

1.1——风量备用系数;

αL——炉膛过量空气系数;

Bj——计算燃煤量,kg/h;

V°——理论空气量,m3/kg;

b——当地大气压,mmHg;

tk——进入风机的冷空气温度,℃。

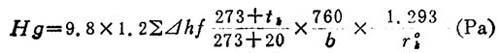
(2)鼓风机风压的计算:

式中:Hg——鼓风机风压、mmH2O;

1.2——风压备用系数;

Σ⊿hf——风道总阻力,mmH2O;

tk,b——含义同上式;

20——鼓风机铭牌上给出的气体温度,℃:

——760mmHg时空气的重度,r=1.293kg/m3

2.引风机的计算

(1)引风机风量的计算:

式中:Vy——引风机风量,m3/h;

1.1——风量备用系数;

Bj——计算燃煤量,kg/h;——引风机前计入过量空气系数的每公斤燃料产生的烟气总体积,m3/kg;

tp——引风机前的排烟温度,℃;一般可用锅炉排烟温度;

b——含义同上式。

(2)引风机风压(Hy)的计算:

式中:1.2——风压备用系数;

Σ⊿hy——烟道总阻力,mmH2O;

Sy——烟囱引力,mmH2O;

tpb——含义同上式;

200——引风机铭牌上给出的气体温度,℃;

——760mmHg时的烟气重度,

3.风机所需电动机功率计算

❶ 风机所需功率(Nf);

式中:V——风机风量,m3/h;

H——风机风压,mmH2O;

η1——风机在全压头时的效率,一般为0.6,高效风机为0.9;

η2——机械传动效率,其值为:

当风机与电动机直联时η2=1.0

当风机与电动机用三角皮带传动时,η2=0.90~0.95;

当风机与电动机用联轴器连接时,η2=0.95~0.98;

当风机与电动机用平皮带传动时,η2=0.8。

❷  电动机功率(Nd)按下式计算:

式中:η3——电动机效率,常取η3=0.90;

B——电动机备用系数,按表14-2—89采用。

表14-2-89

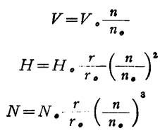
4.风机性能与转数关系

在保证风机效率不变的条件下,离心风机的性能与转数有下列关系:

式中:V、H、N、V——转数为n时,风机的风量,风压,功率和介质重度;

Y。、No、Ho、Vo——转数为no时,风机的风量,风压,功率和介质重度。

随便看

 

离鸟网收录3541549条中英文词条,其功能与新华字典、现代汉语词典、牛津高阶英汉词典等各类中英文词典类似,基本涵盖了全部常用中英文字词句的读音、释义及用法,是语言学习和写作的有利工具。

 

Copyright © 2004-2024 vtrois.com All Rights Reserved
更新时间:2026/4/19 2:04:28