网站首页  词典首页


请输入您要查询的字词:

 

字词 默顿,罗伯特与斯科尔斯,迈伦
类别 中英文字词句释义及详细解析
释义 默顿,罗伯特与斯科尔斯,迈伦

【生卒】:1944~ 1941~

【介绍】:

两位美国金融经济学家,1997年度诺贝尔经济学奖获得者。

默顿出生于美国。1966年获哥伦比亚大学(工程数学)理学学士学位;1967年获加州理工学院(应用数学)理学硕士学位;1970年获麻省理工学院哲学博士学位。1969年起执教于麻省理工学院,曾先后担任金融学和管理学教授;从1989年起担任哈佛大学金融学教授至今。曾于1986年荣任美国金融学协会会长。

斯科尔斯出生于加拿大。曾于1962年获加拿大麦克马斯特大学文学学士学位;1964年获芝加哥大学工商管理硕士学位;1969年获芝加哥大学哲学博士学位。毕业后留校任教,1976~1983年任芝加哥大学商业研究生院教授;1983年至今任斯坦福大学商业研究生院教授。曾于1990年荣任美国金融学协会会长。

默顿和斯科尔斯因曾与已故美国金融经济学家费希尔·布莱克(Fischer Black)一起提出了一种新的衍生工具定价方法而荣获1997年度诺贝尔经济学奖。

在现代市场经济中,企业和居民户在其交易过程中寻求一个适当的风险水平是必不可少的。

金融市场可以在愿意并能够承担风险的客户之间重新分配风险。从这个意义上说,期权及其他所谓的衍生工具市场就很重要。

对未来的收益或支付有预期的客户,可以确保获得某一水平上的利润或保证损失不超过某一水平。期权属于一种权利而不是义务,期权持有者可以在未来以事先指定的价格购买某一确定的基础资产,但不一定必须购买该基础资产。期权有看涨期权与看跌期权两种基本类型。购买看涨期权者有权在某一特定的时间以某一确定的价格购买基础资产。购买看跌期权者有权在某一特定的时间以某一确定的价格出售基础资产。期权有美式期权和欧式期权之分。

美式期权可在期权有效期内任何时候执行,欧式期权只能在到期日执行。在交易所的实际交易中大多数期权为美式期权。欧式期权通常比美式期权更容易分析,所以在理论分析中常用作研究的对象。

期权以及其他衍生工具的定价研究已有很长的历史。但在布莱克、斯科尔斯与默顿系统地提出期权定价公式以前,在期权定价方面的研究结果是先有到期股票期权的预期价格,然后按照评估的时间进行贴现。这种贴现方式需要给风险报酬作适当的处理。

因为期权的价格取决于股价从评估时间至到期时间变动的风险路径,但分配风险报酬则很困难。这种风险报酬不仅反映股价的变动而且反映投资者对待风险的态度。而后者可以在理论上进行严格的定义,但在实际中则很难或不可能观察到。

而布莱克、默顿与斯科尔斯等人解决了这个问题。他们认为在进行期权定价时没有必要处理任何风险报酬。这并不意味著不存在风险报酬,而是它已经包含在股票价格中了。1973年布莱克与斯科尔斯发表的《期权定价与公司债务》(“The Priciing of Options and Corporate Liabilities”)一文提出了后来以其名字命名的期权定价公式即布莱克-斯科尔斯模型。同年默顿也发表了《合理期权定价理论》(“Theory of rational option pricing”)一文,对该公式作了多方面的拓展。

由布莱克、默顿和斯科尔斯提出的新方法可以用下面的例子作简要的说明。若你购买了所谓的欧式看涨期权,你就有权在3个月内以100$的执行价格在股市上购买某种股票。

显然,这种看涨期权的价格不仅取决于执行价格,而且还取决于当前的股票价格;今天的股价越高,3个月内超过100$的可能性也越大。一个期权定价公式应当精确地确定期权价格如何决定于当前的股价。

当前股价的变动将引起期权价格多大的变动,我们称为“△”(Delta)期权。假定当当前股价上升2$时,期权价格增长1$,而股价下降2$时,期权价格下降1$ 即,△=0.5)。

假定一个投资者拥有一些优先股票,并想设法避免股价波动的风险。

那么事实上,他能够通过出售两倍于自己的股票数目的期权来构建无风险资产组合(riskfree portfolio)。

当股价有一个合理的较小的上升时,投资者由股票所得利润与期权所招致的损失是相抵的。反之,当股价下降时,利润与损失也相抵。

如此构建的资产组合则可避免风险,它会带来与3月期无风险国库券相同的收益。否则,就将存在套利交易的机会,而套利交易将消除获得无风险利润的可能性。

随著期权愈来愈接近到期,股价的不断变化,△期权也在变化。为保证一个无风险的股票-期权资产组合,投资者不得不改变组合。

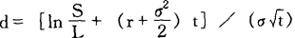
布莱克等假定这种交易可以随时进行,不考虑交易成本(其他人后来引入了交易成本)。这个条件使无风险股票-期权资产组合的收益产生了无风险利率,在任何时点上,这个条件部分地说明了一个特定的等式,即看涨期权的布莱克-斯科尔斯公式:

其中,可变量d由下式决定:

据此公式,如能成交的话,看涨期权的价格C,由右边预期第一期的股票价格与预期第二期的成本之间的差额来决定。

若期权价格较高,则当前股价S较高,股价的波动率σ较大(由标准差计量),无风险收益率r越高,距到期时间t越长,执行价格L越低,期权成交的概率越高(这里的概率是在风险中立之下由呈正态分布的函数N表示)。公式中的所有参数除σ之外都能从市场数据中观测到。另外,如果看涨期权的价格已知,这个公式就可以用来解出市场股价的波动率σ的大小。

该公式是布莱克与斯科尔斯首先提出的,所以就以他们的名字命名。

他们的公式原本是建立在威廉·夏普(William Sharpe)的“资本资产定价模型”(CAPM)基础上的。资本资产定价模型是用来说明在金融市场上如何建立反映风险和潜在收益的有价证券价格,投资公司广泛应用该模型来预测某一种股票在股票市场上的运作情况。

而在1973年,布莱克和斯科尔斯在完成提出公式的那篇论文的过程中受到默顿的重大影响。对此,布莱克曾在1989年的一篇文章《我们是怎样提出期权公式的》(“How We Came Up with the Option Formula”)中作过说明。

默顿对此模型给出了最重要的概括:市场均衡对于期权定价并非必要条件;充分条件是没有套利交易的机会。

上述例子是在没有套利交易的基础上精确得出的。

这种方法也可以用来解决其他种类衍生工具的定价问题。默顿在1973年发表的《期权定价与公司债务》一文中放松了布莱克-斯科尔斯公式的假定条件,例如,他允许利率为随机的。

1977年默顿在所发表的《论或有债权定价与莫迪利亚尼-米勒定理》(“On the pricing of contingent claims and the Modigliani-Miller theorem”)一文中又提出了一个更一般的推导该公式的方法,其中使用了这样的事实:期权也可以是由优先股与无风险债券之间交易综合而成的。

布莱克-斯科尔斯公式解决了一个困扰人们多年的期权定价的老问题,因此这是一项重要的科学成就。但是,布莱克-斯科尔斯模型的重要性还在于他们的分析方法在理论和实践中的深远影响。其科学影响从衍生证券的定价问题扩展到其他领域的评估,包括:衍生证券的定价、企业债务评估、投资评估、担保与保险契约定价、等等。总之,布莱克、斯科尔斯与默顿等提出的股票期权模型在许多经济领域中的定价方面都有重要的深远的影响,它也有助于促进新的金融工具的产生和促进社会对风险的有效管理。

参考文献:

孙竹,1998,《布莱克-斯科尔斯模型与金融衍生市场风险管理》,载《经济学动态》第2期。

晓礼,1997,《美国金融学协会两位前会长罗伯特·默顿与迈伦·斯科尔斯荣获1997年度诺贝尔经济学奖》,载《经济学消息报》总255期。

赫尔,1997,《期权、期货与其他衍生工具》,华夏出版社。

约翰·伊特韦尔等编,1996,《新帕尔格雷夫经济学大辞典》第3卷,经济科学出版社。

Black,F.and M.Scholes,1973,The Pricing of Options and Corporate Liabilities,Journal of Political Economy,Vol.81(2).

随便看

 

离鸟网收录3541549条中英文词条,其功能与新华字典、现代汉语词典、牛津高阶英汉词典等各类中英文词典类似,基本涵盖了全部常用中英文字词句的读音、释义及用法,是语言学习和写作的有利工具。

 

Copyright © 2004-2024 vtrois.com All Rights Reserved
更新时间:2026/4/21 12:59:14