网站首页  词典首页


请输入您要查询的字词:

 

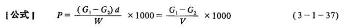
字词 黑液固形物含量的测定计算
类别 中英文字词句释义及详细解析
释义 黑液固形物含量的测定计算

[测定方法]先在扁形称量瓶内装入5~10g(40~60目)已洗净(用6NHC1重复煮沸1h,并洗净、干燥备用)的石英砂,烘干至恒重。用移液管吸取黑液1mL或准确称量1g浓黑液放入称量瓶中与石英砂混匀,置于恒温烘箱内,于100~105℃下烘干4h,取出置于干燥器内冷却30min钟,称重。再烘干1h,再称重,直至恒重为止。

式中 P-固形物含量(g/L)

G1-烘干后称量瓶和残渣的总重(g)

G2-称量瓶重(g)

W-试样重量(g)

d-黑液比重

V-黑液试样容积(m1)

随便看

 

离鸟网收录3541549条中英文词条,其功能与新华字典、现代汉语词典、牛津高阶英汉词典等各类中英文词典类似,基本涵盖了全部常用中英文字词句的读音、释义及用法,是语言学习和写作的有利工具。

 

Copyright © 2004-2024 vtrois.com All Rights Reserved
更新时间:2026/4/18 18:16:21