黑液与浆料的计算
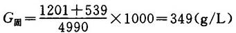
1.黑液的固形物含量及其组成计算 ❶ 黑液的固形物含量G固  从表查出与此相应的浓度为20.2°Bé(15℃)。 ❷ 黑液中固形物组成  2.送洗选工段的浆料中含有的物质(以每吨风干浆计算) ❶ 放锅黑液损失量G损 【说明】取放锅时流往冷凝器的黑液损失率为1.5%。 G损=4990×1.5=75(L) ❷ 放锅固形物损失G固损  其中:有机物=26×69%=18(kg) 无机物=26×31%=8(kg)  ❸ 送往洗涤的浆料中含有的物质水(黑液中):4990-75=4915(kg) 绝干浆:900kg 黑液中的有机物:1201-18=1183(kg) 黑液中的无机物:539-8=531(kg) 总计:7529kg 其中Na2O:402-6=396(kg) ❹ 黑液的固形物中Na2O含量  |